Spatial Data Science

👩🏻‍💻 Dr Thiyanga S. Talagala @ University of Sri Jayewardenepura

  • ttalagala@sjp.ac.lk
  • @thiyangt
  • github.com/thiyangt
  • https://thiyanga.netlify.app/

Outline

  • Introduction

  • Three types of spatial processes

  • Isotropy

  • Spatial kriging

Introduction

A spatial stochastic process is a family of random variables \[\{Z(s): s \in D\}.\]

Here,

\(D\) is the spatial domain in which observations could be made and

\(Z(s)\) is a random variable representing the quantity that you measured at location \(s\).

Daily temperature in Canada

Locations of Canadian weather stations: \(s_i\)

library(sf)
library(geoFourierFDA)
library(rnaturalearth)
canada$m_coord
            N.latitude W.longitude
Regina           50.25     -104.39
Sherbrooke       45.24      -71.54
Winnipeg         49.53      -97.09
Resolute         74.41      -94.54
Yellowknife      62.27     -114.21
Edmonton         53.33     -113.28
Dawson           64.04     -139.25
Ottawa           45.25      -75.22
Fredericton      45.58      -66.39
Churchill        58.46      -94.10
Whitehorse       60.43     -135.03
Sydney           46.09      -60.11
Scheffervll      54.47      -64.49
Montreal         45.31      -73.34

Example: \(s_1 = (50.25, -104.39)\)

Daily temperature in Canada

Observed daily temperature value: \(z(s_i)\)

canada$m_data[1, ]
     Regina  Sherbrooke    Winnipeg    Resolute Yellowknife    Edmonton 
      -15.7       -10.1       -17.9       -30.7       -24.5       -12.6 
     Dawson      Ottawa Fredericton   Churchill  Whitehorse      Sydney 
      -28.0        -9.4        -7.9       -24.9       -17.6        -3.8 
Scheffervll    Montreal 
      -22.5        -8.7 

Example:

\[s_1 = (50.25, -104.39)\] \[z(s_1) = -15.7\]

Visualization

df <- data.frame(canada$m_coord)
df
            N.latitude W.longitude
Regina           50.25     -104.39
Sherbrooke       45.24      -71.54
Winnipeg         49.53      -97.09
Resolute         74.41      -94.54
Yellowknife      62.27     -114.21
Edmonton         53.33     -113.28
Dawson           64.04     -139.25
Ottawa           45.25      -75.22
Fredericton      45.58      -66.39
Churchill        58.46      -94.10
Whitehorse       60.43     -135.03
Sydney           46.09      -60.11
Scheffervll      54.47      -64.49
Montreal         45.31      -73.34

Visualization (cont.)

df$location <- attr(canada$m_coord, "dimnames")[[1]]
df
            N.latitude W.longitude    location
Regina           50.25     -104.39      Regina
Sherbrooke       45.24      -71.54  Sherbrooke
Winnipeg         49.53      -97.09    Winnipeg
Resolute         74.41      -94.54    Resolute
Yellowknife      62.27     -114.21 Yellowknife
Edmonton         53.33     -113.28    Edmonton
Dawson           64.04     -139.25      Dawson
Ottawa           45.25      -75.22      Ottawa
Fredericton      45.58      -66.39 Fredericton
Churchill        58.46      -94.10   Churchill
Whitehorse       60.43     -135.03  Whitehorse
Sydney           46.09      -60.11      Sydney
Scheffervll      54.47      -64.49 Scheffervll
Montreal         45.31      -73.34    Montreal

Visualisation (cont.)

df <- st_as_sf(df, coords=c("W.longitude", "N.latitude"))
df
Simple feature collection with 14 features and 1 field
Geometry type: POINT
Dimension:     XY
Bounding box:  xmin: -139.25 ymin: 45.24 xmax: -60.11 ymax: 74.41
CRS:           NA
First 10 features:
               location              geometry
Regina           Regina POINT (-104.39 50.25)
Sherbrooke   Sherbrooke  POINT (-71.54 45.24)
Winnipeg       Winnipeg  POINT (-97.09 49.53)
Resolute       Resolute  POINT (-94.54 74.41)
Yellowknife Yellowknife POINT (-114.21 62.27)
Edmonton       Edmonton POINT (-113.28 53.33)
Dawson           Dawson POINT (-139.25 64.04)
Ottawa           Ottawa  POINT (-75.22 45.25)
Fredericton Fredericton  POINT (-66.39 45.58)
Churchill     Churchill   POINT (-94.1 58.46)

Visualisation (cont.)

st_crs(df) <- 4326
df
Simple feature collection with 14 features and 1 field
Geometry type: POINT
Dimension:     XY
Bounding box:  xmin: -139.25 ymin: 45.24 xmax: -60.11 ymax: 74.41
Geodetic CRS:  WGS 84
First 10 features:
               location              geometry
Regina           Regina POINT (-104.39 50.25)
Sherbrooke   Sherbrooke  POINT (-71.54 45.24)
Winnipeg       Winnipeg  POINT (-97.09 49.53)
Resolute       Resolute  POINT (-94.54 74.41)
Yellowknife Yellowknife POINT (-114.21 62.27)
Edmonton       Edmonton POINT (-113.28 53.33)
Dawson           Dawson POINT (-139.25 64.04)
Ottawa           Ottawa  POINT (-75.22 45.25)
Fredericton Fredericton  POINT (-66.39 45.58)
Churchill     Churchill   POINT (-94.1 58.46)

Add temperature data

df$temp <- canada$m_data[1, ]
df
Simple feature collection with 14 features and 2 fields
Geometry type: POINT
Dimension:     XY
Bounding box:  xmin: -139.25 ymin: 45.24 xmax: -60.11 ymax: 74.41
Geodetic CRS:  WGS 84
First 10 features:
               location              geometry  temp
Regina           Regina POINT (-104.39 50.25) -15.7
Sherbrooke   Sherbrooke  POINT (-71.54 45.24) -10.1
Winnipeg       Winnipeg  POINT (-97.09 49.53) -17.9
Resolute       Resolute  POINT (-94.54 74.41) -30.7
Yellowknife Yellowknife POINT (-114.21 62.27) -24.5
Edmonton       Edmonton POINT (-113.28 53.33) -12.6
Dawson           Dawson POINT (-139.25 64.04) -28.0
Ottawa           Ottawa  POINT (-75.22 45.25)  -9.4
Fredericton Fredericton  POINT (-66.39 45.58)  -7.9
Churchill     Churchill   POINT (-94.1 58.46) -24.9

Getting map data

map <- rnaturalearth::ne_states("Canada", returnclass = "sf")
map
Simple feature collection with 13 features and 121 fields
Geometry type: MULTIPOLYGON
Dimension:     XY
Bounding box:  xmin: -141.0056 ymin: 41.72947 xmax: -52.61661 ymax: 83.11652
Geodetic CRS:  WGS 84
First 10 features:
                         featurecla scalerank adm1_code diss_me iso_3166_2
1237 Admin-1 states provinces lakes         2   CAN-633     633      CA-BC
1240 Admin-1 states provinces lakes         2   CAN-632     632      CA-AB
1241 Admin-1 states provinces lakes         2   CAN-631     631      CA-SK
1243 Admin-1 states provinces lakes         2   CAN-630     630      CA-MB
1245 Admin-1 states provinces lakes         2   CAN-682     682      CA-ON
1250 Admin-1 states provinces lakes         2   CAN-683     683      CA-QC
1254 Admin-1 states provinces lakes         2   CAN-684     684      CA-NB
1615 Admin-1 states provinces lakes         2   CAN-636     636      CA-YT
2173 Admin-1 states provinces lakes         2   CAN-634     634      CA-NU
2174 Admin-1 states provinces lakes         2   CAN-686     686      CA-NL
                                                  wikipedia iso_a2 adm0_sr
1237          http://en.wikipedia.org/wiki/British_Columbia     CA       3
1240                   http://en.wikipedia.org/wiki/Alberta     CA       1
1241              http://en.wikipedia.org/wiki/Saskatchewan     CA       1
1243                  http://en.wikipedia.org/wiki/Manitoba     CA       1
1245                   http://en.wikipedia.org/wiki/Ontario     CA       1
1250                    http://en.wikipedia.org/wiki/Quebec     CA       6
1254             http://en.wikipedia.org/wiki/New_Brunswick     CA       5
1615                     http://en.wikipedia.org/wiki/Yukon     CA       5
2173                   http://en.wikipedia.org/wiki/Nunavut     CA       5
2174 http://en.wikipedia.org/wiki/Newfoundland_and_Labrador     CA       6
                          name                                         name_alt
1237          British Columbia               Colombie britannique|New Caledonia
1240                   Alberta                                             <NA>
1241              Saskatchewan                                             <NA>
1243                  Manitoba                                             <NA>
1245                   Ontario                                     Upper Canada
1250                    Québec                                     Lower Canada
1254             New Brunswick                         Nouveau-Brunswick|Acadia
1615                     Yukon  Yukon Territory|Territoire du Yukon|Yukon|Yuk¢n
2173                   Nunavut                                             <NA>
2174 Newfoundland and Labrador Newfoundland|Terre-Neuve|Terre-Neuve-et-Labrador
     name_local       type   type_en code_local code_hasc note hasc_maybe
1237       <NA>   Province  Province       <NA>     CA.BC <NA>       <NA>
1240       <NA>   Province  Province       <NA>     CA.AB <NA>       <NA>
1241       <NA>   Province  Province       <NA>     CA.SK <NA>       <NA>
1243       <NA>   Province  Province       <NA>     CA.MB <NA>       <NA>
1245       <NA>   Province  Province       <NA>     CA.ON <NA>       <NA>
1250       <NA>   Province  Province       <NA>     CA.QC <NA>       <NA>
1254       <NA>   Province  Province       <NA>     CA.NB <NA>       <NA>
1615       <NA> Territoire Territory       <NA>     CA.YT <NA>       <NA>
2173       <NA> Territoire Territory       <NA>     CA.NU <NA>       <NA>
2174       <NA>   Province  Province       <NA>     CA.NF <NA>       <NA>
              region      region_cod provnum_ne gadm_level check_me datarank
1237  Western Canada            <NA>          2          1       20        2
1240  Western Canada            <NA>         12          1       20        2
1241  Western Canada            <NA>         13          1       20        2
1243  Western Canada            <NA>         11          1       20        2
1245  Eastern Canada            <NA>          7          1       20        2
1250  Eastern Canada            <NA>          4          1       20        2
1254  Eastern Canada            <NA>         10          1       20        2
1615 Northern Canada Northern Canada          8          1       20        2
2173 Northern Canada Northern Canada          1          1       20        2
2174  Eastern Canada            <NA>          6          1       20        2
     abbrev postal area_sqkm sameascity labelrank name_len mapcolor9 mapcolor13
1237   B.C.     BC         0        -99         2       16         2          2
1240  Alta.     AB         0        -99         2        7         2          2
1241  Sask.     SK         0        -99         2       12         2          2
1243   Man.     MB         0        -99         2        8         2          2
1245   Ont.     ON         0        -99         2        7         2          2
1250   Que.     QC         0        -99         2        6         2          2
1254   N.B.     NB         0        -99         2       13         2          2
1615   Yuk.     YT         0        -99         2        5         2          2
2173   Nun.     NU         0        -99         2        7         2          2
2174   N.L.     NL         0        -99         2       25         2          2
     fips fips_alt   woe_id                             woe_label
1237 CA02     <NA>  2344916          British Columbia, CA, Canada
1240 CA01     <NA>  2344915                   Alberta, CA, Canada
1241 CA11     <NA>  2344925              Saskatchewan, CA, Canada
1243 CA03     <NA>  2344917                  Manitoba, CA, Canada
1245 CA08     <NA>  2344922                   Ontario, CA, Canada
1250 CA10     <NA>  2344924                    Quebec, CA, Canada
1254 CA04     <NA>  2344918             New Brunswick, CA, Canada
1615 CA12     <NA>  2344926           Yukon Territory, CA, Canada
2173 CA14     CA14 20069920                   Nunavut, CA, Canada
2174 CA05     <NA>  2344919 Newfoundland and Labrador, CA, Canada
                      woe_name latitude longitude sov_a3 adm0_a3 adm0_label
1237          British Columbia  54.6943 -124.6620    CAN     CAN          2
1240                   Alberta  55.2816 -115.0000    CAN     CAN          2
1241              Saskatchewan  54.4965 -105.6820    CAN     CAN          2
1243                  Manitoba  54.8500  -97.3828    CAN     CAN          2
1245                   Ontario  50.5244  -84.7943    CAN     CAN          2
1250                    Québec  52.2593  -73.7168    CAN     CAN          2
1254             New Brunswick  46.5822  -66.4558    CAN     CAN          2
1615                     Yukon  63.6088 -135.7000    CAN     CAN          2
2173                   Nunavut  64.3853  -97.1443    CAN     CAN          2
2174 Newfoundland and Labrador  48.6598  -56.2169    CAN     CAN          2
      admin geonunit gu_a3   gn_id                   gn_name  gns_id
1237 Canada   Canada   CAN 5909050          British Columbia -561661
1240 Canada   Canada   CAN 5883102                   Alberta -559990
1241 Canada   Canada   CAN 6141242              Saskatchewan -573211
1243 Canada   Canada   CAN 6065171                  Manitoba -568643
1245 Canada   Canada   CAN 6093943                   Ontario -570663
1250 Canada   Canada   CAN 6115047                    Quebec -571854
1254 Canada   Canada   CAN 6087430             New Brunswick -570089
1615 Canada   Canada   CAN 6185811                     Yukon -576336
2173 Canada   Canada   CAN 6091732                   Nunavut  448560
2174 Canada   Canada   CAN 6354959 Newfoundland and Labrador -570103
                                   gns_name gn_level gn_region gn_a1_code
1237          British Columbia, Province of        1      <NA>      CA.02
1240                   Alberta, Province d'        1      <NA>      CA.01
1241              Saskatchewan, Province de        1      <NA>      CA.11
1243                  Manitoba, Province de        1      <NA>      CA.03
1245                   Ontario, Province d'        1      <NA>      CA.08
1250                    Quebec, Province du        1      <NA>      CA.10
1254             New Brunswick, Province of        1      <NA>      CA.04
1615                                  Yukon        1      <NA>      CA.12
2173                                Nunavut        1      <NA>      CA.14
2174 Newfoundland and Labrador, Province of        1      <NA>      CA.05
           region_sub sub_code gns_level gns_lang gns_adm1 gns_region min_label
1237 British Columbia     <NA>         1      eng     CA02       <NA>       3.5
1240         Prairies     <NA>         1      fra     CA01       <NA>       3.5
1241         Prairies     <NA>         1      fra     CA11       <NA>       3.5
1243         Prairies     <NA>         1      fra     CA03       <NA>       3.5
1245          Ontario     <NA>         1      fra     CA08       <NA>       3.5
1250           Québec     <NA>         1      fra     CA10       <NA>       3.5
1254  Atlantic Canada     <NA>         1      eng     CA04       <NA>       3.5
1615             <NA>     <NA>         1      por     CA12       <NA>       3.5
2173             <NA>     <NA>         1      iku     CA14       <NA>       3.5
2174  Atlantic Canada     <NA>         1      eng     CA05       <NA>       3.5
     max_label min_zoom wikidataid              name_ar                 name_bn
1237       7.5        2      Q1974  كولومبيا البريطانية         ব্রিটিশ কলাম্বিয়া
1240       7.5        2      Q1951               ألبرتا               অ্যালবার্টা
1241       7.5        2      Q1989           ساسكاتشوان              সাসক্যাচুয়ান
1243       7.5        2      Q1948             مانيتوبا               ম্যানিটোবা
1245       7.5        2      Q1904             أونتاريو                 অন্টারিও
1250       7.5        2       Q176                 كيبك                   কেবেক
1254       7.5        2      Q1965         نيو برونزويك            নিউ ব্রান্সউইক
1615       7.5        2      Q2009                يوكون                    ইউকন
2173       7.5        2      Q2023              نونافوت                   নুনাভুট
2174       7.5        2      Q2003 نيوفندلاند ولابرادور নিউফাউন্ডল্যান্ড ও লাব্রাডর
                      name_de                   name_en              name_es
1237         British Columbia          British Columbia   Columbia Británica
1240                  Alberta                   Alberta              Alberta
1241             Saskatchewan              Saskatchewan         Saskatchewan
1243                 Manitoba                  Manitoba             Manitoba
1245                  Ontario                   Ontario              Ontario
1250                   Québec                    Quebec               Quebec
1254            New Brunswick             New Brunswick      Nuevo Brunswick
1615                    Yukon                     Yukon                Yukón
2173                  Nunavut                   Nunavut              Nunavut
2174 Neufundland und Labrador Newfoundland and Labrador Terranova y Labrador
                     name_fr               name_el             name_hi
1237    Colombie-Britannique    Βρετανική Κολομβία     ब्रिटिश कोलम्बिया
1240                 Alberta              Αλμπέρτα              अल्बर्टा
1241            Saskatchewan           Σασκάτσουαν              सैस्कैचेवेन
1243                Manitoba             Μανιτόμπα            मानिटोबा
1245                 Ontario               Οντάριο            ओण्टारियो
1250                  Québec                Κεμπέκ                क्यूबेक
1254       Nouveau-Brunswick      Νιου Μπράνσγουικ           न्यू ब्रंसविक
1615                   Yukon               Γιούκον           युकॉन प्रांत
2173                 Nunavut             Νούναβουτ               नुनावुत
2174 Terre-Neuve-et-Labrador Νέα Γη και Λαμπραντόρ न्यूफाउंडलैंड और लैब्राडोर
                     name_hu                   name_id              name_it
1237           Brit Columbia          British Columbia  Columbia Britannica
1240                 Alberta                   Alberta              Alberta
1241            Saskatchewan              Saskatchewan         Saskatchewan
1243                Manitoba                  Manitoba             Manitoba
1245                 Ontario                   Ontario              Ontario
1250                  Québec                    Quebec               Québec
1254            Új-Brunswick             New Brunswick      Nuovo Brunswick
1615                   Yukon                     Yukon                Yukon
2173                 Nunavut                   Nunavut              Nunavut
2174 Új-Fundland és Labrador Newfoundland dan Labrador Terranova e Labrador
                                  name_ja            name_ko
1237           ブリティッシュコロンビア州   브리티시컬럼비아
1240                         アルバータ州             앨버타
1241                     サスカチュワン州         서스캐처원
1243                           マニトバ州           매니토바
1245                         オンタリオ州           온타리오
1250                           ケベック州               퀘벡
1254           ニュー・ブランズウィック州         뉴브런즈윅
1615                         ユーコン準州            유콘 준
2173                         ヌナブト準州        누나부트 준
2174 ニューファンドランド・ラブラドール州 뉴펀들랜드래브라도
                      name_nl                    name_pl               name_pt
1237           Brits-Columbia         Kolumbia Brytyjska    Colúmbia Britânica
1240                  Alberta                    Alberta               Alberta
1241             Saskatchewan               Saskatchewan          Saskatchewan
1243                 Manitoba                   Manitoba              Manitoba
1245                  Ontario                    Ontario               Ontário
1250                   Quebec                     Quebec              Quebeque
1254            New Brunswick             Nowy Brunszwik        Novo Brunswick
1615                    Yukon                      Jukon                 Yukon
2173                  Nunavut                    Nunavut               Nunavut
2174 Newfoundland en Labrador Nowa Fundlandia i Labrador Terra Nova e Labrador
                     name_ru                   name_sv                  name_tr
1237     Британская Колумбия          British Columbia     Britanya Kolumbiyası
1240                Альберта                   Alberta                  Alberta
1241              Саскачеван              Saskatchewan             Saskatchewan
1243                Манитоба                  Manitoba                 Manitoba
1245                 Онтарио                   Ontario                  Ontario
1250                  Квебек                    Québec                   Québec
1254            Нью-Брансуик             New Brunswick            New Brunswick
1615                    Юкон                     Yukon                    Yukon
2173                 Нунавут                   Nunavut                  Nunavut
2174 Ньюфаундленд и Лабрадор Newfoundland och Labrador Newfoundland ve Labrador
                      name_vi         name_zh      ne_id             name_he
1237         British Columbia  不列颠哥伦比亚 1159307717    קולומביה הבריטית
1240                  Alberta      阿尔伯塔省 1159308775              אלברטה
1241             Saskatchewan      萨斯喀彻温 1159308773            ססקצ'ואן
1243                 Manitoba        曼尼托巴 1159308777             מניטובה
1245                  Ontario        安大略省 1159309687             אונטריו
1250                   Québec          魁北克 1159308703              קוויבק
1254            New Brunswick      新不伦瑞克 1159308785        ניו ברנזוויק
1615                    Yukon            育空 1159309667               יוקון
2173                  Nunavut        努纳武特 1159307715             נונאווט
2174 Newfoundland và Labrador 纽芬兰-拉布拉多 1159308713 ניופאונדלנד ולברדור
                     name_uk                     name_ur               name_fa
1237     Британська Колумбія                برٹش کولمبیا         بریتیش کلمبیا
1240                Альберта                      البرٹا                آلبرتا
1241              Саскачеван                   ساسکچیوان               سسکچوان
1243                Манітоба                    مانیٹوبا              مانیتوبا
1245                 Онтаріо                     انٹاریو               انتاریو
1250                  Квебек                      کیوبیک             استان کبک
1254            Нью-Брансвік                 نیو برنزویک           نیوبرانزویک
1615                    Юкон                       يوكون                 یوکان
2173                 Нунавут                       نناوت               نوناووت
2174 Ньюфаундленд і Лабрадор نیو فاؤنڈ لینڈ اور لیبراڈور نیوفاندلند و لابرادور
             name_zht FCLASS_ISO FCLASS_US FCLASS_FR FCLASS_RU FCLASS_ES
1237 不列顛哥倫比亞省       <NA>      <NA>      <NA>      <NA>      <NA>
1240         亞伯達省       <NA>      <NA>      <NA>      <NA>      <NA>
1241       薩斯喀徹溫       <NA>      <NA>      <NA>      <NA>      <NA>
1243       曼尼托巴省       <NA>      <NA>      <NA>      <NA>      <NA>
1245         安大略省       <NA>      <NA>      <NA>      <NA>      <NA>
1250           魁北克       <NA>      <NA>      <NA>      <NA>      <NA>
1254       新不倫瑞克       <NA>      <NA>      <NA>      <NA>      <NA>
1615             育空       <NA>      <NA>      <NA>      <NA>      <NA>
2173         努納福特       <NA>      <NA>      <NA>      <NA>      <NA>
2174  紐芬蘭-拉布拉多       <NA>      <NA>      <NA>      <NA>      <NA>
     FCLASS_CN FCLASS_TW FCLASS_IN FCLASS_NP FCLASS_PK FCLASS_DE FCLASS_GB
1237      <NA>      <NA>      <NA>      <NA>      <NA>      <NA>      <NA>
1240      <NA>      <NA>      <NA>      <NA>      <NA>      <NA>      <NA>
1241      <NA>      <NA>      <NA>      <NA>      <NA>      <NA>      <NA>
1243      <NA>      <NA>      <NA>      <NA>      <NA>      <NA>      <NA>
1245      <NA>      <NA>      <NA>      <NA>      <NA>      <NA>      <NA>
1250      <NA>      <NA>      <NA>      <NA>      <NA>      <NA>      <NA>
1254      <NA>      <NA>      <NA>      <NA>      <NA>      <NA>      <NA>
1615      <NA>      <NA>      <NA>      <NA>      <NA>      <NA>      <NA>
2173      <NA>      <NA>      <NA>      <NA>      <NA>      <NA>      <NA>
2174      <NA>      <NA>      <NA>      <NA>      <NA>      <NA>      <NA>
     FCLASS_BR FCLASS_IL FCLASS_PS FCLASS_SA FCLASS_EG FCLASS_MA FCLASS_PT
1237      <NA>      <NA>      <NA>      <NA>      <NA>      <NA>      <NA>
1240      <NA>      <NA>      <NA>      <NA>      <NA>      <NA>      <NA>
1241      <NA>      <NA>      <NA>      <NA>      <NA>      <NA>      <NA>
1243      <NA>      <NA>      <NA>      <NA>      <NA>      <NA>      <NA>
1245      <NA>      <NA>      <NA>      <NA>      <NA>      <NA>      <NA>
1250      <NA>      <NA>      <NA>      <NA>      <NA>      <NA>      <NA>
1254      <NA>      <NA>      <NA>      <NA>      <NA>      <NA>      <NA>
1615      <NA>      <NA>      <NA>      <NA>      <NA>      <NA>      <NA>
2173      <NA>      <NA>      <NA>      <NA>      <NA>      <NA>      <NA>
2174      <NA>      <NA>      <NA>      <NA>      <NA>      <NA>      <NA>
     FCLASS_AR FCLASS_JP FCLASS_KO FCLASS_VN FCLASS_TR FCLASS_ID FCLASS_PL
1237      <NA>      <NA>      <NA>      <NA>      <NA>      <NA>      <NA>
1240      <NA>      <NA>      <NA>      <NA>      <NA>      <NA>      <NA>
1241      <NA>      <NA>      <NA>      <NA>      <NA>      <NA>      <NA>
1243      <NA>      <NA>      <NA>      <NA>      <NA>      <NA>      <NA>
1245      <NA>      <NA>      <NA>      <NA>      <NA>      <NA>      <NA>
1250      <NA>      <NA>      <NA>      <NA>      <NA>      <NA>      <NA>
1254      <NA>      <NA>      <NA>      <NA>      <NA>      <NA>      <NA>
1615      <NA>      <NA>      <NA>      <NA>      <NA>      <NA>      <NA>
2173      <NA>      <NA>      <NA>      <NA>      <NA>      <NA>      <NA>
2174      <NA>      <NA>      <NA>      <NA>      <NA>      <NA>      <NA>
     FCLASS_GR FCLASS_IT FCLASS_NL FCLASS_SE FCLASS_BD FCLASS_UA FCLASS_TLC
1237      <NA>      <NA>      <NA>      <NA>      <NA>      <NA>       <NA>
1240      <NA>      <NA>      <NA>      <NA>      <NA>      <NA>       <NA>
1241      <NA>      <NA>      <NA>      <NA>      <NA>      <NA>       <NA>
1243      <NA>      <NA>      <NA>      <NA>      <NA>      <NA>       <NA>
1245      <NA>      <NA>      <NA>      <NA>      <NA>      <NA>       <NA>
1250      <NA>      <NA>      <NA>      <NA>      <NA>      <NA>       <NA>
1254      <NA>      <NA>      <NA>      <NA>      <NA>      <NA>       <NA>
1615      <NA>      <NA>      <NA>      <NA>      <NA>      <NA>       <NA>
2173      <NA>      <NA>      <NA>      <NA>      <NA>      <NA>       <NA>
2174      <NA>      <NA>      <NA>      <NA>      <NA>      <NA>       <NA>
                           geometry
1237 MULTIPOLYGON (((-117.0382 4...
1240 MULTIPOLYGON (((-109.9993 4...
1241 MULTIPOLYGON (((-104.0476 4...
1243 MULTIPOLYGON (((-97.22609 4...
1245 MULTIPOLYGON (((-89.58175 4...
1250 MULTIPOLYGON (((-73.35134 4...
1254 MULTIPOLYGON (((-67.17601 4...
1615 MULTIPOLYGON (((-139.0602 6...
2173 MULTIPOLYGON (((-102.5728 6...
2174 MULTIPOLYGON (((-64.53141 6...

Visualisation of the spatial domain \(D\)

This represents \(D\) - spatial domain (geographical region which the observations could be made)

ggplot(map) + geom_sf()

A spatial stochastic process is a family of random variables \[\{Z(s): s \in D\}.\]

Visualisation of the spatial domain (\(D\)), and \(z(s_i)\) values

library(viridis)
ggplot(map) + geom_sf() + geom_sf(data=df, aes(color = temp), size=3) + scale_color_viridis()

Three types of spatial processes

  1. Geostatistical processes:

    In theory the process could be observed at infinitely many locations in \(S \in D\).

    Example: Air temperature in Sri Lanka

  2. Areal process

    Here \(D\) is divided into on-overlapping sub regions such as \(D = {B_1, B_2,...B_n}\) where \(B_i\) is the \(i^{th}\) sub region.

    Example: Total number of dengue cases in each district in Sri Lanka

  3. Point process

    The process can be observed only at specific locations in \(S \in D\).

    Example: Tree volume of sandalwood trees in Sri Lanka

Tobler’s First Law of Geography

Everything is related to everything else, but near things are more related than distant things.

library(viridis)
ggplot(map) + geom_sf() +
  geom_sf(data=df, aes(color = temp), size=3) +
  scale_color_viridis()

Weakly Stationary

Strictly Stationary

Isotropy

direction-independent

Anisotropic

direction-independent

  1. What is isotropic?

    The correlation between any two observations depends only on the distance between those locations and not on their relative direction (directionally invariant).

  2. Why is isotropic important in spatial data analysis?

    This assumption simplifies analysis and modeling processes.

Spatial Interpolation

Spatial interpolation is the activity of estimating values of spatially continuous variables (fields) for spatial locations where they have not been observed, based on observations.

Spatial Interpolation Methods

  • Inverse Distance Weighting (IDW): It estimates values for unmeasured locations by considering the values and distances of nearby measured points.

  • Kriging: A geostatistical technique that provides optimal predictions and quantifies uncertainty by analyzing spatial autocorrelation.

  • Spline Interpolation: It fits a smooth curve through measured points to estimate values at unmeasured locations.

  • Nearest-neighbor interpolation: It assigns the value of the closest measured point to the unmeasured location.

Statial Interpolation Methods (cont.)

  • Natural Neighbor: Similar to nearest neighbor but considers multiple nearby points and their influence.

  • Radial Basis Function (RBF): It constructs a continuous function that satisfies given data values and radial symmetry properties.

  • Deep Learning Model for Spatial Interpolation

  • Image-driven spatial interpolation

  • Bayesian deep learning approaches

  • Ensemble approaches

Inverse Distance Weighting (IDW)

  • Nonparametric interpolation method

  • Based on weighted averages of the observations.

  • Weights are calculated based on the inverse of the distances between the known data points and the location where the estimation is being made

  • Relies on Tobler’s first law of geography

Inverse Distance Weighting (IDW)

Suppose \(s_0\) is the point that we need to interpolate. Then,

\[\hat{Z}(s_0) = \frac{\sum_{i=1}^{n}w(s_i)Z(s_i)}{\sum_{i=1}^nw(s_i)}\] and \(w_i\) is defined as

\[w_i = \frac{1}{||s_i - s_o||^p}\]

  • We can tune the value of \(p\) using a cross validation method

  • We can limit the amount of neighbours to take into consideration to speed up the computations.

Your turn

x y z
2 2 10
3 7 11
9 9 15
6 5 9
5 3 8

We want to find z value at x=5, y=5.

Answer

x y z dis_to_55 inv_dis weight
2 2 10 4.242641 0.2357023 0.1040154
3 7 11 2.828427 0.3535534 0.1560231
9 9 15 5.656854 0.1767767 0.0780115
6 5 9 1.000000 1.0000000 0.4413000
5 3 8 2.000000 0.5000000 0.2206500

Predicted value at (5, 5)

\(z(5, 5) = 10\times 0.104 + 11 \times 0.156 + 15 \times 0.078 + \\ 9 \times 0.441 + 8 \times 0.220\)

IDW - Application

Question: Interpolate Mean \(NO_2\) concentrations in air in Germany, in 2017

Step 1: Load necessary packages

library(gstat)
library(tidyverse)

Step 2: Read data

no2 <- read_csv(system.file("external/no2.csv", 
    package = "gstat"), show_col_types = FALSE)
no2
# A tibble: 74 × 21
   station_european_code station_local_code country_iso_code country_name
   <chr>                 <chr>              <chr>            <chr>       
 1 DENI063               DENI063            DE               Germany     
 2 DEBY109               DEBY109            DE               Germany     
 3 DEBE056               DEBE056            DE               Germany     
 4 DEBE062               DEBE062            DE               Germany     
 5 DEBE032               DEBE032            DE               Germany     
 6 DEHE046               DEHE046            DE               Germany     
 7 DEBY122               DEBY122            DE               Germany     
 8 DESL019               DESL019            DE               Germany     
 9 DENW081               DENW081            DE               Germany     
10 DESH008               DESH008            DE               Germany     
# ℹ 64 more rows
# ℹ 17 more variables: station_name <chr>, station_start_date <date>,
#   station_end_date <lgl>, type_of_station <chr>,
#   station_ozone_classification <chr>, station_type_of_area <chr>,
#   station_subcat_rural_back <chr>, street_type <chr>,
#   station_longitude_deg <dbl>, station_latitude_deg <dbl>,
#   station_altitude <dbl>, station_city <chr>, lau_level1_code <dbl>, …

head(data.frame(no2), 3)
  station_european_code station_local_code country_iso_code country_name
1               DENI063            DENI063               DE      Germany
2               DEBY109            DEBY109               DE      Germany
3               DEBE056            DEBE056               DE      Germany
        station_name station_start_date station_end_date type_of_station
1         Altes Land         1999-02-11               NA      Background
2 Andechs/Rothenfeld         2003-04-17               NA      Background
3  B Friedrichshagen         1994-02-01               NA      Background
  station_ozone_classification station_type_of_area station_subcat_rural_back
1                        rural                rural                   unknown
2                        rural                rural                  regional
3                        rural                rural                 near city
  street_type station_longitude_deg station_latitude_deg station_altitude
1        <NA>              9.685031             53.52418                3
2        <NA>             11.220172             47.96875              700
3        <NA>             13.647050             52.44770               35
  station_city lau_level1_code lau_level2_code lau_level2_name EMEP_station
1         <NA>              NA         3359028            Jork           no
2         <NA>              NA         9188117         Andechs           no
3         <NA>              NA        11000000   Berlin, Stadt           no
        NO2
1 13.102806
2  7.135128
3 12.799011

Create a Coordinate Reference System (CRS) Object

  • st_crs: used to create a coordinate reference system (CRS) object.

  • EPSG:32632 is a specific CRS identifier. In this case, it refers to a CRS known as “WGS 84 / UTM zone 32N”. This CRS is commonly used for mapping and spatial analysis in Europe, particularly in the northern regions.

  • The following line of code creates a CRS object named crs representing the coordinate reference system “WGS 84 / UTM zone 32N”.

crs <- st_crs("EPSG:32632")
crs
Coordinate Reference System:
  User input: EPSG:32632 
  wkt:
PROJCRS["WGS 84 / UTM zone 32N",
    BASEGEOGCRS["WGS 84",
        ENSEMBLE["World Geodetic System 1984 ensemble",
            MEMBER["World Geodetic System 1984 (Transit)"],
            MEMBER["World Geodetic System 1984 (G730)"],
            MEMBER["World Geodetic System 1984 (G873)"],
            MEMBER["World Geodetic System 1984 (G1150)"],
            MEMBER["World Geodetic System 1984 (G1674)"],
            MEMBER["World Geodetic System 1984 (G1762)"],
            MEMBER["World Geodetic System 1984 (G2139)"],
            ELLIPSOID["WGS 84",6378137,298.257223563,
                LENGTHUNIT["metre",1]],
            ENSEMBLEACCURACY[2.0]],
        PRIMEM["Greenwich",0,
            ANGLEUNIT["degree",0.0174532925199433]],
        ID["EPSG",4326]],
    CONVERSION["UTM zone 32N",
        METHOD["Transverse Mercator",
            ID["EPSG",9807]],
        PARAMETER["Latitude of natural origin",0,
            ANGLEUNIT["degree",0.0174532925199433],
            ID["EPSG",8801]],
        PARAMETER["Longitude of natural origin",9,
            ANGLEUNIT["degree",0.0174532925199433],
            ID["EPSG",8802]],
        PARAMETER["Scale factor at natural origin",0.9996,
            SCALEUNIT["unity",1],
            ID["EPSG",8805]],
        PARAMETER["False easting",500000,
            LENGTHUNIT["metre",1],
            ID["EPSG",8806]],
        PARAMETER["False northing",0,
            LENGTHUNIT["metre",1],
            ID["EPSG",8807]]],
    CS[Cartesian,2],
        AXIS["(E)",east,
            ORDER[1],
            LENGTHUNIT["metre",1]],
        AXIS["(N)",north,
            ORDER[2],
            LENGTHUNIT["metre",1]],
    USAGE[
        SCOPE["Navigation and medium accuracy spatial referencing."],
        AREA["Between 6°E and 12°E, northern hemisphere between equator and 84°N, onshore and offshore. Algeria. Austria. Cameroon. Denmark. Equatorial Guinea. France. Gabon. Germany. Italy. Libya. Liechtenstein. Monaco. Netherlands. Niger. Nigeria. Norway. Sao Tome and Principe. Svalbard. Sweden. Switzerland. Tunisia. Vatican City State."],
        BBOX[0,6,84,12]],
    ID["EPSG",32632]]

convert no2 to spatial object

no2.sf <- st_as_sf(no2, crs = "OGC:CRS84", coords = 
    c("station_longitude_deg", "station_latitude_deg")) |>
    st_transform(crs) 
no2.sf
Simple feature collection with 74 features and 19 fields
Geometry type: POINT
Dimension:     XY
Bounding box:  xmin: 304638.2 ymin: 5263687 xmax: 900829.7 ymax: 6086661
Projected CRS: WGS 84 / UTM zone 32N
# A tibble: 74 × 20
   station_european_code station_local_code country_iso_code country_name
 * <chr>                 <chr>              <chr>            <chr>       
 1 DENI063               DENI063            DE               Germany     
 2 DEBY109               DEBY109            DE               Germany     
 3 DEBE056               DEBE056            DE               Germany     
 4 DEBE062               DEBE062            DE               Germany     
 5 DEBE032               DEBE032            DE               Germany     
 6 DEHE046               DEHE046            DE               Germany     
 7 DEBY122               DEBY122            DE               Germany     
 8 DESL019               DESL019            DE               Germany     
 9 DENW081               DENW081            DE               Germany     
10 DESH008               DESH008            DE               Germany     
# ℹ 64 more rows
# ℹ 16 more variables: station_name <chr>, station_start_date <date>,
#   station_end_date <lgl>, type_of_station <chr>,
#   station_ozone_classification <chr>, station_type_of_area <chr>,
#   station_subcat_rural_back <chr>, street_type <chr>, station_altitude <dbl>,
#   station_city <chr>, lau_level1_code <dbl>, lau_level2_code <dbl>,
#   lau_level2_name <chr>, EMEP_station <chr>, NO2 <dbl>, …

EPSG: 32632 vs OGC: CRS84

  • EPSG:32632

    Commonly used for regional mapping and spatial analysis in Europe, particularly in the northern regions.

  • OGC:CRS84

    Often used in web mapping applications and geospatial data exchange due to its simplicity and widespread support.

  • EPSG:32632 is a regional projected CRS optimized for mapping specific areas with minimal distortion, while OGC:CRS84 is a global geographic CRS commonly used for general-purpose mapping and data exchange.

Load country boundary

map <- read_sf("de_nuts1.gpkg") |> st_transform(crs) 
map
Simple feature collection with 16 features and 16 fields
Geometry type: MULTIPOLYGON
Dimension:     XY
Bounding box:  xmin: 280741.3 ymin: 5235822 xmax: 921330.5 ymax: 6101239
Projected CRS: WGS 84 / UTM zone 32N
# A tibble: 16 × 17
    ID_0 ISO   NAME_0   ID_1 NAME_1      VARNAME_1 NL_NAME_1 HASC_1 CC_1  TYPE_1
 * <int> <chr> <chr>   <int> <chr>       <chr>     <chr>     <chr>  <chr> <chr> 
 1    60 DEU   Germany   753 Baden-Wurt… <NA>      <NA>      DE.BW  <NA>  Land  
 2    60 DEU   Germany   754 Bayern      Bavaria   <NA>      DE.BY  <NA>  Land  
 3    60 DEU   Germany   755 Berlin      <NA>      <NA>      DE.BE  <NA>  Land  
 4    60 DEU   Germany   756 Brandenburg <NA>      <NA>      DE.BR  <NA>  Land  
 5    60 DEU   Germany   757 Bremen      <NA>      <NA>      DE.HB  <NA>  Land  
 6    60 DEU   Germany   758 Hamburg     <NA>      <NA>      DE.HH  <NA>  Land  
 7    60 DEU   Germany   759 Hessen      Hesse     <NA>      DE.HE  <NA>  Land  
 8    60 DEU   Germany   760 Mecklenbur… Mecklenb… <NA>      DE.MV  <NA>  Land  
 9    60 DEU   Germany   761 Niedersach… Lower Sa… <NA>      DE.NI  <NA>  Land  
10    60 DEU   Germany   762 Nordrhein-… North Rh… <NA>      DE.NW  <NA>  Land  
11    60 DEU   Germany   763 Rheinland-… Rhinelan… <NA>      DE.RP  <NA>  Land  
12    60 DEU   Germany   764 Saarland    <NA>      <NA>      DE.SL  <NA>  Land  
13    60 DEU   Germany   765 Sachsen     Saxony    <NA>      DE.SN  <NA>  Land  
14    60 DEU   Germany   766 Sachsen-An… Saxony-A… <NA>      DE.ST  <NA>  Land  
15    60 DEU   Germany   767 Schleswig-… <NA>      <NA>      DE.SH  <NA>  Land  
16    60 DEU   Germany   768 Thuringen   Thuringia <NA>      DE.TH  <NA>  Land  
# ℹ 7 more variables: ENGTYPE_1 <chr>, VALIDFR_1 <chr>, VALIDTO_1 <chr>,
#   REMARKS_1 <chr>, Shape_Leng <dbl>, Shape_Area <dbl>,
#   geom <MULTIPOLYGON [m]>

Data source: https://github.com/edzer/sdsr/tree/main/data (select de_nuts1.gpkg)

Plot map

ggplot() + geom_sf(data = map)

Add observed values to the map

ggplot() + geom_sf(data = map) + 
geom_sf(data = no2.sf, mapping = aes(col = NO2)) + 
  scale_color_viridis()

IDW

Step 1: Create a regular grid (\(10km \times 10km\))

library(stars)
grid <- st_bbox(map) |>
  st_as_stars(dx = 10000) |> st_crop(map) 
grid
stars object with 2 dimensions and 1 attribute
attribute(s):
        Min. 1st Qu. Median Mean 3rd Qu. Max. NA's
values     0       0      0    0       0    0 2076
dimension(s):
  from to  offset  delta                refsys x/y
x    1 65  280741  10000 WGS 84 / UTM zone 32N [x]
y    1 87 6101239 -10000 WGS 84 / UTM zone 32N [y]
  • st_bbox(map): Calculate the bounding box of the spatial object map.

library(stars)
grid <- st_bbox(map) |>
  st_as_stars(dx = 10000) |> st_crop(map) 
grid
  • st_as_stars(dx = 10000): Convert the bounding box obtained from st_bbox(map) into a raster object using the stars package. The dx parameter sets the cell size (in the x-direction) for the resulting raster, with a value of 10000 specified here.

  • st_crop(map): This function crops the raster grid obtained from st_as_stars(dx = 10000) to match the extent of the map object. This ensures that the resulting grid covers only the area within the spatial extent of the map object.

IDW

Step 2: Interpolation

library(gstat)
interpolated.values <- idw(NO2~1, no2.sf, grid)
[inverse distance weighted interpolation]
interpolated.values 
stars object with 2 dimensions and 2 attributes
attribute(s):
               Min.  1st Qu.   Median     Mean  3rd Qu.     Max. NA's
var1.pred  2.168083 7.397774 8.323239 8.571584 9.422718 20.47053 2076
var1.var         NA       NA       NA      NaN       NA       NA 5655
dimension(s):
  from to  offset  delta                refsys x/y
x    1 65  280741  10000 WGS 84 / UTM zone 32N [x]
y    1 87 6101239 -10000 WGS 84 / UTM zone 32N [y]

IDW

Step 3: Plot values

ggplot() + geom_stars(data = interpolated.values, 
                      aes(fill = var1.pred, x = x, y = y)) + 
    geom_sf(data = st_cast(map, "MULTILINESTRING")) + 
    geom_sf(data = no2.sf, col="red") + scale_fill_viridis() 

Comparison

library(patchwork)
p1 <- ggplot() + geom_sf(data = map) +  geom_sf(data = no2.sf, mapping = aes(col = NO2)) + scale_color_viridis()
p2 <- ggplot() + geom_stars(data = interpolated.values, 
                      aes(fill = var1.pred, x = x, y = y)) + geom_sf(data = st_cast(map, "MULTILINESTRING")) + geom_sf(data = no2.sf, col="red") + scale_fill_viridis() 
p1|p2

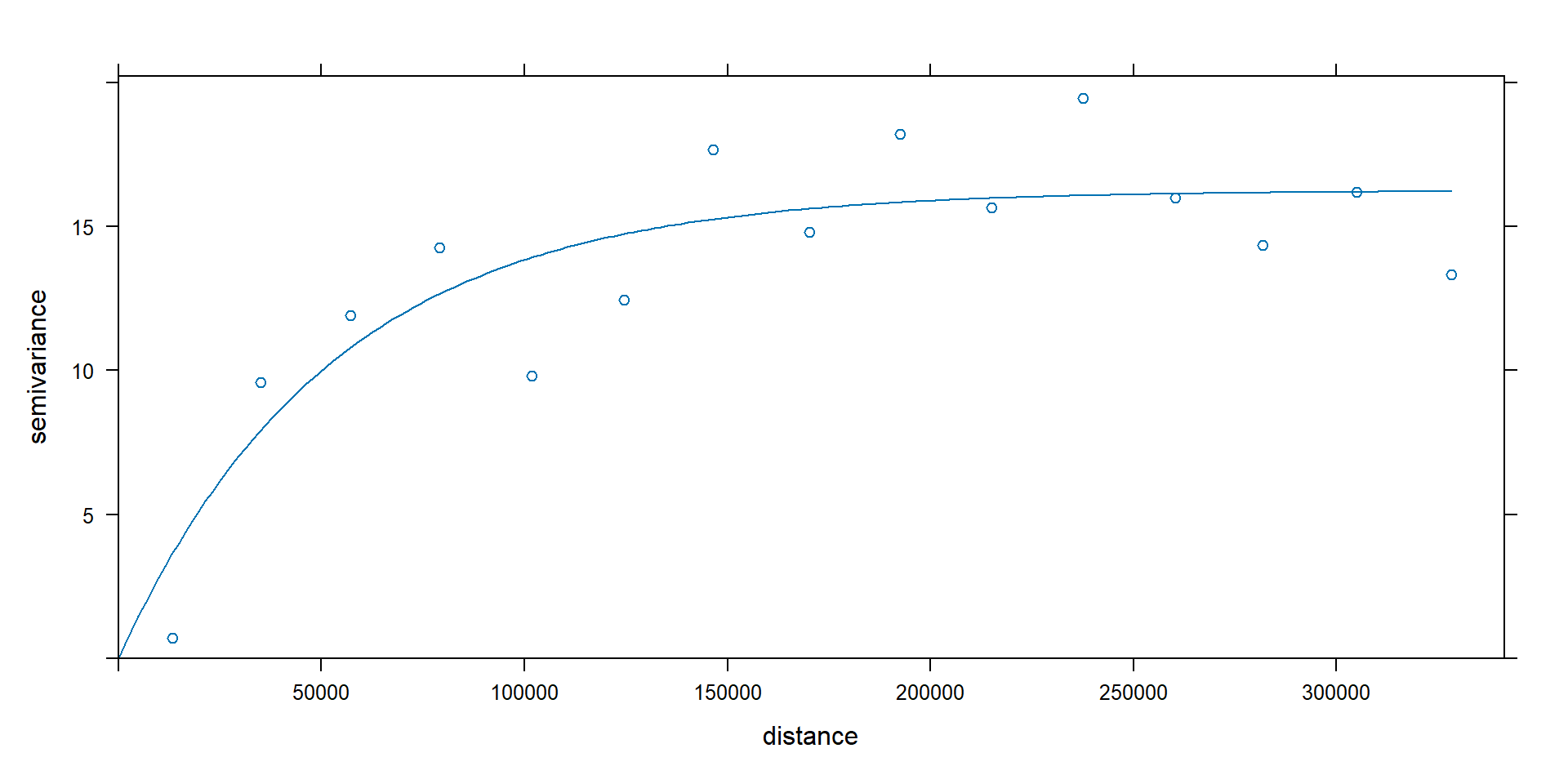
Variogram Modelling and Krigging

Geostatistical processes are generally modelled using additive decomposition:

\[Z(s) = \mu(s) + \epsilon(s)\]

Where,

\(\mu(s)\) - large-scale variation/ spatial-trend/ spatially varying mean that captures the long range (nonstationary) spatial variation

\(\epsilon(s)\) - small-scale variation/ innovations/ spatial geostatistical error

  • To fully capture the characteristics of the geostatistical process, we need to model both \(\mu(s)\) and \(\epsilon(s)\).

Overall modeeling approach

\[Z(s) = \mu(s) + \epsilon(s)\]

First we model \(\mu(s)\) using OLS or some other trend model via covariates and the residuals are used to model small-scale variation.

Modelling Large Scale Variation

  • Regression

  • Machine-learning models

Modelling Small Scale Variation

Let’s learn some theories we need to model small scale variations.

Investigate Spatial Autocorrelation Using Empirical Variogram/ Variogram cloud

\[\gamma(s, t) = \frac{1}{2}Var\{Z(s_i) - Z(s_j)\}\] An estimator for this is

\[\gamma(s, t) = \frac{1}{2}\{Z(s_i) - Z(s_j)\}^2\]

Proof: In-class

Variogram Cloud/ Empirical Variogram

vcloud <- variogram(NO2~1, no2.sf, cloud=TRUE)
vcloud
           dist        gamma dir.hor dir.ver   id left right
1    291778.272 4.614575e-02       0       0 var1    3     1
2    260594.879 8.088801e-01       0       0 var1    4     1
3     33040.195 4.686251e-01       0       0 var1    4     3
4    264858.840 6.302227e-01       0       0 var1    5     1
5     28838.008 3.352990e-01       0       0 var1    5     3
6     20620.764 1.113277e-02       0       0 var1    5     4
7    238444.197 8.682758e+00       0       0 var1    6     1
8    329024.871 4.191332e+00       0       0 var1    6     4
9    317286.345 4.634489e+00       0       0 var1    6     5
10    79080.277 6.548094e-03       0       0 var1    7     2
11   280433.822 4.239450e-02       0       0 var1    8     6
12   265057.003 1.566442e+01       0       0 var1    9     1
13   149968.341 4.767188e+01       0       0 var1    9     6
14   272931.248 4.487102e+01       0       0 var1    9     8
15    73123.661 7.773505e+00       0       0 var1   10     1
16   291856.123 6.621795e+00       0       0 var1   10     3
17   258897.927 3.567274e+00       0       0 var1   10     4
18   268547.646 3.976973e+00       0       0 var1   10     5
19   309101.508 2.513857e-02       0       0 var1   10     6
20   335637.582 4.550759e+01       0       0 var1   10     9
21   302277.749 9.980953e-01       0       0 var1   11     2
22   227742.767 9.035571e+00       0       0 var1   11     3
23   239718.000 5.388715e+00       0       0 var1   11     4
24   219190.447 5.889710e+00       0       0 var1   11     5
25   247800.772 7.512323e-02       0       0 var1   11     6
26   202066.014 4.525315e+01       0       0 var1   12     1
27   219675.929 4.240914e+01       0       0 var1   12     3
28   206223.935 3.396172e+01       0       0 var1   12     4
29   193640.088 3.520263e+01       0       0 var1   12     5
30   123962.871 1.429138e+01       0       0 var1   12     6
31   258065.531 1.141666e+02       0       0 var1   12     9
32   256540.245 1.551529e+01       0       0 var1   12    10
33   173001.612 1.229419e+01       0       0 var1   12    11
34   306687.068 1.105700e+01       0       0 var1   13     1
35   336696.701 8.002720e-01       0       0 var1   13     2
36   337867.345 5.884644e+00       0       0 var1   13     4
37   322273.312 6.407685e+00       0       0 var1   13     5
38    82333.968 1.433032e-01       0       0 var1   13     6
39   256694.483 3.415857e-01       0       0 var1   13     8
40   217225.223 5.304262e+01       0       0 var1   13     9
41   195245.096 1.091355e-02       0       0 var1   13    11
42   140033.354 1.157251e+01       0       0 var1   13    12
43   177037.634 1.189548e+01       0       0 var1   14     2
44   241876.889 4.734317e+00       0       0 var1   14     6
45   214265.356 1.246021e+01       0       0 var1   14     7
46   272981.806 3.880700e+00       0       0 var1   14     8
47   187543.709 6.002180e+00       0       0 var1   14    11
48   262671.278 3.547682e+01       0       0 var1   14    12
49   159659.285 6.524973e+00       0       0 var1   14    13
50   334903.705 9.972493e+00       0       0 var1   15     1
51   134732.569 8.661895e+00       0       0 var1   15     3
52   151531.011 5.101038e+00       0       0 var1   15     4
53   131037.224 5.588778e+00       0       0 var1   15     5
54   284515.210 4.463643e-02       0       0 var1   15     6
55    95613.911 3.945451e-03       0       0 var1   15    11
56   174762.017 1.273862e+01       0       0 var1   15    12
57   255937.721 2.798286e-02       0       0 var1   15    13
58   281883.158 5.698351e+00       0       0 var1   15    14
59   239736.621 7.025133e+00       0       0 var1   16     1
60   138101.308 5.932543e+00       0       0 var1   16     3
61   132129.447 3.066418e+00       0       0 var1   16     4
62   115523.342 3.447079e+00       0       0 var1   16     5
63   210028.260 8.770794e-02       0       0 var1   16     6
64   274410.505 1.893480e-02       0       0 var1   16    10
65   138577.783 3.251753e-01       0       0 var1   16    11
66    87894.286 1.661825e+01       0       0 var1   16    12
67   206958.971 4.552328e-01       0       0 var1   16    13
68   288495.957 3.533247e+00       0       0 var1   16    14
69    97652.941 2.574838e-01       0       0 var1   16    15
70   332893.032 8.436016e+00       0       0 var1   17     1
71   294803.590 1.730023e+00       0       0 var1   17     2
72   309241.370 7.234305e+00       0       0 var1   17     3
73   308350.641 4.020444e+00       0       0 var1   17     4
74   290426.182 4.454701e+00       0       0 var1   17     5
75   140194.979 1.778308e-03       0       0 var1   17     6
76   338409.793 1.949440e+00       0       0 var1   17     7
77   302161.784 2.680727e-02       0       0 var1   17     8
78   284053.586 4.709133e+01       0       0 var1   17     9
79   130107.297 1.000180e-01       0       0 var1   17    11
80   138612.212 1.461199e+01       0       0 var1   17    12
81    68763.425 1.770088e-01       0       0 var1   17    13
82   124304.904 4.552584e+00       0       0 var1   17    14
83   202739.659 6.423353e-02       0       0 var1   17    15
84   177081.839 6.450852e-02       0       0 var1   17    16
85   241497.224 8.922763e+01       0       0 var1   18     2
86   264406.127 6.679637e+01       0       0 var1   18     6
87   227936.069 9.076293e+01       0       0 var1   18     7
88   140202.306 6.347318e+01       0       0 var1   18     8
89   328274.538 1.608895e+00       0       0 var1   18     9
90   322212.616 7.135165e+01       0       0 var1   18    11
91   202916.355 7.312745e+01       0       0 var1   18    13
92   144861.519 3.596468e+01       0       0 var1   18    14
93   217525.496 6.610885e+01       0       0 var1   18    17
94    67580.859 1.996034e+00       0       0 var1   19     1
95   327324.291 2.636137e-01       0       0 var1   19     4
96   332162.777 3.830931e-01       0       0 var1   19     5
97   267020.523 2.352669e+00       0       0 var1   19     6
98   254503.089 2.884379e+01       0       0 var1   19     9
99    98868.656 1.891422e+00       0       0 var1   19    10
100  257026.546 2.824109e+01       0       0 var1   19    12
101  304107.038 1.531866e+00       0       0 var1   19    16
102  195849.609 3.923311e+00       0       0 var1   20     2
103  274764.059 3.609296e+00       0       0 var1   20     7
104  204307.772 8.879101e+00       0       0 var1   20    11
105  232909.549 2.948182e+01       0       0 var1   20    14
106  263911.734 9.257384e+00       0       0 var1   20    15
107  283540.027 1.086387e+01       0       0 var1   20    17
108  257285.775 4.852080e-01       0       0 var1   21     2
109  197798.332 3.324268e-01       0       0 var1   21     6
110  264650.262 6.044892e-01       0       0 var1   21     7
111  166014.500 6.122497e-01       0       0 var1   21     8
112  281230.817 5.596607e+01       0       0 var1   21     9
113  264795.856 9.149320e-02       0       0 var1   21    11
114  270288.164 1.026452e+01       0       0 var1   21    12
115  132370.211 3.920815e-02       0       0 var1   21    13
116  110916.126 7.575778e+00       0       0 var1   21    14
117  325591.236 7.616400e-01       0       0 var1   21    16
118  150369.845 3.828325e-01       0       0 var1   21    17
119   70727.265 7.655321e+01       0       0 var1   21    18
120  256158.476 3.801074e+01       0       0 var1   22     1
121  209895.718 3.540808e+01       0       0 var1   22     3
122  186028.622 2.772978e+01       0       0 var1   22     4
123  206198.644 2.885214e+01       0       0 var1   22     5
124  203978.307 1.140537e+01       0       0 var1   22    10
125  335094.113 3.155756e-01       0       0 var1   22    12
126  336983.540 9.044210e+00       0       0 var1   22    15
127  293343.858 1.235373e+01       0       0 var1   22    16
128  302172.533 2.258601e+01       0       0 var1   22    19
129  331840.290 3.795250e+01       0       0 var1   23     1
130  296404.389 3.766605e+00       0       0 var1   23     2
131  284223.175 3.535187e+01       0       0 var1   23     3
132  285298.666 2.768004e+01       0       0 var1   23     4
133  266753.031 2.880141e+01       0       0 var1   23     5
134  158574.308 1.032920e+01       0       0 var1   23     6
135  331516.964 1.169508e+01       0       0 var1   23     8
136  306069.609 1.023818e+02       0       0 var1   23     9
137  100792.862 8.642551e+00       0       0 var1   23    11
138  131715.831 3.209064e-01       0       0 var1   23    12
139   95278.684 8.039230e+00       0       0 var1   23    13
140  134902.850 2.904947e+01       0       0 var1   23    14
141  173724.792 9.015814e+00       0       0 var1   23    15
142  155921.065 1.232054e+01       0       0 var1   23    16
143   29847.845 1.060204e+01       0       0 var1   23    17
144  242279.528 1.296595e+02       0       0 var1   23    18
145  265620.926 1.596840e-03       0       0 var1   23    20
146  177052.200 6.955579e+00       0       0 var1   23    21
147  114239.235 2.519261e+01       0       0 var1   24     1
148  180866.687 2.308234e+01       0       0 var1   24     3
149  148617.232 1.697313e+01       0       0 var1   24     4
150  155672.458 1.785365e+01       0       0 var1   24     5
151  266103.228 4.295553e+00       0       0 var1   24     6
152  115053.624 4.977910e+00       0       0 var1   24    10
153  305405.814 3.234550e+00       0       0 var1   24    11
154  174756.446 2.916657e+00       0       0 var1   24    12
155  310424.728 2.869695e+00       0       0 var1   24    13
156  249171.760 3.464431e+00       0       0 var1   24    15
157  166920.485 5.610867e+00       0       0 var1   24    16
158  312341.278 4.472132e+00       0       0 var1   24    17
159  179540.860 1.300621e+01       0       0 var1   24    19
160  172979.335 1.313456e+00       0       0 var1   24    22
161  301111.453 1.302648e+00       0       0 var1   24    23
162  160597.332 1.958757e+01       0       0 var1   25     1
163  185717.330 1.773226e+01       0       0 var1   25     3
164  153527.947 1.243555e+01       0       0 var1   25     4
165  168634.541 1.319084e+01       0       0 var1   25     5
166  123586.697 2.682010e+00       0       0 var1   25    10
167  244918.076 5.295802e+00       0       0 var1   25    12
168  287078.662 1.607468e+00       0       0 var1   25    15
169  220724.411 3.151648e+00       0       0 var1   25    16
170  214840.785 9.078012e+00       0       0 var1   25    19
171  100838.157 3.025860e+00       0       0 var1   25    22
172   73843.832 3.521696e-01       0       0 var1   25    24
173  309446.771 7.970135e+00       0       0 var1   26     1
174   28169.938 6.803370e+00       0       0 var1   26     3
175   49765.519 3.700872e+00       0       0 var1   26     4
176   54617.976 4.117965e+00       0       0 var1   26     5
177  303677.578 1.227957e-03       0       0 var1   26    10
178  251092.902 1.580821e-01       0       0 var1   26    11
179  247503.068 1.524046e+01       0       0 var1   26    12
180  156460.013 1.120794e-01       0       0 var1   26    15
181  166265.414 2.980664e-02       0       0 var1   26    16
182  336652.660 6.616077e-03       0       0 var1   26    17
183  201041.513 1.116991e+01       0       0 var1   26    22
184  311262.979 1.113835e+01       0       0 var1   26    23
185  196429.305 4.822771e+00       0       0 var1   26    24
186  191062.242 2.568462e+00       0       0 var1   26    25
187  332671.241 2.736841e+01       0       0 var1   27     1
188  315573.207 1.023531e+00       0       0 var1   27     2
189  229997.411 2.516694e+01       0       0 var1   27     3
190  235994.702 1.876713e+01       0       0 var1   27     4
191  216221.666 1.969244e+01       0       0 var1   27     5
192  204113.450 5.220449e+00       0       0 var1   27     6
193   43889.822 4.043092e+00       0       0 var1   27    11
194  133561.382 2.236711e+00       0       0 var1   27    12
195  155266.823 3.633888e+00       0       0 var1   27    13
196  178013.615 1.989765e+01       0       0 var1   27    14
197  110411.209 4.299638e+00       0       0 var1   27    15
198  117443.998 6.661486e+00       0       0 var1   27    16
199   94408.867 5.414930e+00       0       0 var1   27    17
200  301505.251 1.093642e+02       0       0 var1   27    18
201  241049.196 9.390348e-01       0       0 var1   27    20
202  239117.887 2.918171e+00       0       0 var1   27    21
203   64651.780 8.631852e-01       0       0 var1   27    23
204  280103.266 4.505370e-02       0       0 var1   27    24
205  337872.788 6.491483e-01       0       0 var1   27    25
206  255813.046 5.800099e+00       0       0 var1   27    26
207  224476.534 6.888464e+00       0       0 var1   28     6
208   58745.062 8.011660e+00       0       0 var1   28     8
209  236974.645 9.080319e+01       0       0 var1   28     9
210  332630.387 1.335887e+00       0       0 var1   28    12
211  197963.549 5.044669e+00       0       0 var1   28    13
212  228098.168 2.304419e+01       0       0 var1   28    14
213  244935.246 7.111600e+00       0       0 var1   28    17
214  114910.063 1.165859e+02       0       0 var1   28    18
215  117510.317 4.194401e+00       0       0 var1   28    21
216  274515.598 3.472975e-01       0       0 var1   28    23
217  105915.726 3.517351e+00       0       0 var1   29     1
218  247463.817 1.147452e+00       0       0 var1   29     6
219  209675.823 3.402728e+01       0       0 var1   29     9
220  151877.259 8.329124e-01       0       0 var1   29    10
221  262957.783 2.353788e+01       0       0 var1   29    12
222  327925.919 2.101763e+00       0       0 var1   29    13
223  322767.892 6.006817e-01       0       0 var1   29    16
224   53642.669 2.140444e-01       0       0 var1   29    19
225  219765.029 9.883249e+00       0       0 var1   29    24
226  263483.309 6.504156e+00       0       0 var1   29    25
227  267270.863 2.179491e+01       0       0 var1   30     1
228  337443.903 1.420630e+01       0       0 var1   30     4
229  324171.797 1.501281e+01       0       0 var1   30     5
230   31538.451 2.964767e+00       0       0 var1   30     6
231  261826.133 3.716216e+00       0       0 var1   30     8
232  169114.610 7.441361e+01       0       0 var1   30     9
233  336933.618 3.535909e+00       0       0 var1   30    10
234  231805.586 2.096020e+00       0       0 var1   30    11
235  131402.284 4.237604e+00       0       0 var1   30    12
236   52247.136 1.804443e+00       0       0 var1   30    13
237  211041.561 1.519205e+01       0       0 var1   30    14
238  278280.978 2.281841e+00       0       0 var1   30    15
239  212551.758 4.072345e+00       0       0 var1   30    16
240  115291.943 3.111766e+00       0       0 var1   30    17
241  235359.806 9.790617e+01       0       0 var1   30    18
242  297993.492 1.059952e+01       0       0 var1   30    19
243  167636.011 1.311678e+00       0       0 var1   30    21
244  137095.065 2.226237e+00       0       0 var1   30    23
245  287060.247 1.230058e-01       0       0 var1   30    24
246  188998.977 3.169469e-01       0       0 var1   30    27
247  204323.217 8.149367e-01       0       0 var1   30    28
248  279001.789 7.801082e+00       0       0 var1   30    29
249  322089.288 2.448923e-02       0       0 var1   31     2
250  138658.428 2.043824e+00       0       0 var1   31     6
251  333097.318 5.710832e-03       0       0 var1   31     7
252  163037.634 2.674935e+00       0       0 var1   31     8
253  213089.139 6.945733e+01       0       0 var1   31     9
254  270941.758 1.335267e+00       0       0 var1   31    11
255  232289.530 5.526120e+00       0       0 var1   31    12
256   94256.689 1.104747e+00       0       0 var1   31    13
257  159890.195 1.299943e+01       0       0 var1   31    14
258  301059.030 2.978313e+00       0       0 var1   31    16
259  142244.152 2.166177e+00       0       0 var1   31    17
260  127376.746 9.220855e+01       0       0 var1   31    18
261   68588.608 7.277098e-01       0       0 var1   31    21
262  172074.735 3.183670e+00       0       0 var1   31    23
263  236632.163 7.313782e-01       0       0 var1   31    27
264  104524.750 1.427940e+00       0       0 var1   31    28
265  111681.412 8.539610e-02       0       0 var1   31    30
266  259174.328 4.972433e+01       0       0 var1   32     2
267  174482.379 3.339008e+01       0       0 var1   32     6
268  276678.268 5.087211e+01       0       0 var1   32     7
269  195708.247 3.105293e+01       0       0 var1   32     8
270  274263.984 1.268028e+00       0       0 var1   32     9
271  231826.892 3.663277e+01       0       0 var1   32    11
272  237492.184 9.137083e+01       0       0 var1   32    12
273  102253.703 3.790827e+01       0       0 var1   32    13
274   95195.015 1.297848e+01       0       0 var1   32    14
275  315089.097 3.587637e+01       0       0 var1   32    15
276  290771.668 3.005517e+01       0       0 var1   32    16
277  115335.727 3.290451e+01       0       0 var1   32    17
278  104117.287 5.733581e+00       0       0 var1   32    18
279  324914.687 8.158214e+01       0       0 var1   32    20
280   35036.656 4.038577e+01       0       0 var1   32    21
281  142202.354 8.086187e+01       0       0 var1   32    23
282  204747.486 6.501592e+01       0       0 var1   32    27
283  143052.344 7.061046e+01       0       0 var1   32    28
284  143275.140 5.625397e+01       0       0 var1   32    30
285   65071.676 5.195582e+01       0       0 var1   32    31
286  185088.616 2.166321e+01       0       0 var1   33     1
287  132266.520 1.970969e+01       0       0 var1   33     3
288   99822.389 1.410000e+01       0       0 var1   33     4
289  114824.409 1.490353e+01       0       0 var1   33     5
290  325003.472 2.916317e+00       0       0 var1   33     6
291  165907.351 3.482980e+00       0       0 var1   33    10
292  310797.290 2.055314e+00       0       0 var1   33    11
293  217349.604 4.295965e+00       0       0 var1   33    12
294  235889.537 2.239361e+00       0       0 var1   33    15
295  177798.599 4.015528e+00       0       0 var1   33    16
296  247089.483 1.050774e+01       0       0 var1   33    19
297  118317.760 2.282849e+00       0       0 var1   33    22
298  329738.662 2.268593e+00       0       0 var1   33    23
299   74064.356 1.331146e-01       0       0 var1   33    24
300   53844.284 5.225341e-02       0       0 var1   33    25
301  139510.152 3.353411e+00       0       0 var1   33    26
302  295036.023 3.330529e-01       0       0 var1   33    27
303  290975.156 7.722367e+00       0       0 var1   33    29
304  101309.546 3.410052e+01       0       0 var1   34     6
305  196933.005 3.173819e+01       0       0 var1   34     8
306  194521.602 1.134050e+00       0       0 var1   34     9
307  249909.807 3.737673e+01       0       0 var1   34    11
308  195171.381 9.254360e+01       0       0 var1   34    12
309   60816.696 3.866500e+01       0       0 var1   34    13
310  168326.231 1.342282e+01       0       0 var1   34    14
311  315908.106 3.661264e+01       0       0 var1   34    15
312  266985.947 3.072939e+01       0       0 var1   34    16
313  119844.607 3.360979e+01       0       0 var1   34    17
314  163155.699 5.444475e+00       0       0 var1   34    18
315   98249.160 4.116672e+01       0       0 var1   34    21
316  149200.431 8.196537e+01       0       0 var1   34    23
317  212365.172 6.600579e+01       0       0 var1   34    27
318  138227.939 7.164189e+01       0       0 var1   34    28
319   73350.208 5.717499e+01       0       0 var1   34    30
320   38511.831 5.284110e+01       0       0 var1   34    31
321   81559.236 3.739300e-03       0       0 var1   34    32
322  303258.918 2.132263e+01       0       0 var1   35     1
323  126344.338 1.938489e+01       0       0 var1   35     3
324  116125.079 1.382550e+01       0       0 var1   35     4
325  135708.375 1.462128e+01       0       0 var1   35     5
326  272217.814 3.347228e+00       0       0 var1   35    10
327  312033.289 4.449578e+00       0       0 var1   35    12
328  261072.908 2.130777e+00       0       0 var1   35    15
329  246454.729 3.869667e+00       0       0 var1   35    16
330  107813.976 2.395193e+00       0       0 var1   35    22
331  194065.400 1.612665e-01       0       0 var1   35    24
332  148730.768 3.680979e-02       0       0 var1   35    25
333  107804.891 3.220233e+00       0       0 var1   35    26
334  120001.844 1.349187e-03       0       0 var1   35    33
335  243744.403 2.134656e+01       0       0 var1   36     1
336   79261.472 1.940771e+01       0       0 var1   36     3
337   71497.611 1.384477e+01       0       0 var1   36     4
338   54895.501 1.464110e+01       0       0 var1   36     5
339  264487.730 2.800877e+00       0       0 var1   36     6
340  262215.565 3.356714e+00       0       0 var1   36    10
341  178186.876 1.958589e+00       0       0 var1   36    11
342  140526.669 4.438656e+00       0       0 var1   36    12
343  267378.703 1.677097e+00       0       0 var1   36    13
344  103838.217 2.138347e+00       0       0 var1   36    15
345   60776.709 3.879865e+00       0       0 var1   36    16
346  236940.113 2.943805e+00       0       0 var1   36    17
347  311069.618 1.028756e+01       0       0 var1   36    19
348  242736.280 2.387181e+00       0       0 var1   36    22
349  214348.043 2.372603e+00       0       0 var1   36    23
350  147507.166 1.591926e-01       0       0 var1   36    24
351  183766.412 3.781053e-02       0       0 var1   36    25
352  107273.546 3.229537e+00       0       0 var1   36    26
353  168133.434 3.736242e-01       0       0 var1   36    27
354  270082.952 2.329770e-03       0       0 var1   36    30
355  133975.209 1.165590e-03       0       0 var1   36    33
356  327090.603 5.644738e+01       0       0 var1   36    34
357  186753.235 6.710907e-06       0       0 var1   36    35
358  118770.350 2.731010e+01       0       0 var1   37     2
359  192660.308 2.816241e+01       0       0 var1   37     7
360  272999.366 1.786634e+01       0       0 var1   37    11
361  229029.109 3.157460e+00       0       0 var1   37    14
362  317056.904 1.529282e+01       0       0 var1   37    17
363  337342.553 1.780951e+01       0       0 var1   37    18
364   97322.372 5.193568e+01       0       0 var1   37    20
365  333312.510 2.051490e+01       0       0 var1   37    21
366  307215.657 5.136131e+01       0       0 var1   37    23
367  301359.732 3.890769e+01       0       0 var1   37    27
368  323768.045 3.332969e+00       0       0 var1   37    32
369  305986.179 2.827456e+01       0       0 var1   38     1
370   75809.660 5.620366e+00       0       0 var1   38     6
371  205038.372 6.639024e+00       0       0 var1   38     8
372  138344.766 8.602959e+01       0       0 var1   38     9
373  285688.658 4.395920e+00       0       0 var1   38    11
374  194563.846 1.987149e+00       0       0 var1   38    12
375   90978.755 3.968769e+00       0       0 var1   38    13
376  224259.201 2.067139e+01       0       0 var1   38    14
377  276500.120 7.112283e+00       0       0 var1   38    16
378  159397.822 5.822092e+00       0       0 var1   38    17
379  206691.347 1.111683e+02       0       0 var1   38    18
380  325206.769 1.524568e+01       0       0 var1   38    19
381  148799.004 3.219033e+00       0       0 var1   38    21
382  186225.777 7.109470e-01       0       0 var1   38    23
383  244657.904 7.378956e-03       0       0 var1   38    27
384  150133.683 6.444349e-02       0       0 var1   38    28
385  296608.749 1.184683e+01       0       0 var1   38    29
386   63951.170 4.210469e-01       0       0 var1   38    30
387   80800.908 8.856831e-01       0       0 var1   38    31
388  136976.290 6.640858e+01       0       0 var1   38    32
389   56217.852 6.740896e+01       0       0 var1   38    34
390  333903.384 4.860167e-01       0       0 var1   38    36
391  190529.472 5.687182e+01       0       0 var1   39     6
392  213977.806 5.380870e+01       0       0 var1   39     8
393   75863.303 4.055882e-01       0       0 var1   39     9
394  310991.336 1.281817e+02       0       0 var1   39    12
395  236994.990 6.272473e+01       0       0 var1   39    13
396  305687.389 5.623756e+01       0       0 var1   39    17
397  295834.643 3.988732e-01       0       0 var1   39    18
398  329698.814 3.609005e+01       0       0 var1   39    19
399  263076.849 6.590038e+01       0       0 var1   39    21
400  331801.597 1.156754e+02       0       0 var1   39    23
401  190047.400 1.033461e+02       0       0 var1   39    28
402  283379.216 4.186282e+01       0       0 var1   39    29
403  198901.878 8.580670e+01       0       0 var1   39    30
404  200700.984 8.047820e+01       0       0 var1   39    31
405  265746.403 3.107907e+00       0       0 var1   39    32
406  195926.298 2.896041e+00       0       0 var1   39    34
407  146499.692 9.824916e+01       0       0 var1   39    38
408  226955.098 3.920350e+01       0       0 var1   40     1
409   87697.311 3.655961e+01       0       0 var1   40     3
410   57183.572 2.874989e+01       0       0 var1   40     4
411   75526.965 2.989251e+01       0       0 var1   40     5
412  338455.600 1.098669e+01       0       0 var1   40     6
413  212910.847 1.206291e+01       0       0 var1   40    10
414  287560.191 9.244833e+00       0       0 var1   40    11
415  221850.320 2.169473e-01       0       0 var1   40    12
416  204578.142 9.630747e+00       0       0 var1   40    15
417  164521.783 1.303768e+01       0       0 var1   40    16
418  291015.546 2.350756e+01       0       0 var1   40    19
419  133236.673 9.213149e-03       0       0 var1   40    22
420  320367.575 1.014251e-02       0       0 var1   40    23
421  112905.231 1.542679e+00       0       0 var1   40    24
422   98968.251 3.369005e+00       0       0 var1   40    25
423   92371.732 1.182072e+01       0       0 var1   40    26
424  277946.122 1.060463e+00       0       0 var1   40    27
425  332648.130 1.923533e+01       0       0 var1   40    29
426   47350.740 2.582112e+00       0       0 var1   40    33
427   91990.377 2.701507e+00       0       0 var1   40    35
428  110132.533 2.692998e+00       0       0 var1   40    36
429  281548.835 1.409625e+00       0       0 var1   41     2
430  278314.218 2.695942e+01       0       0 var1   41     3
431  282609.051 2.031921e+01       0       0 var1   41     4
432  263246.460 2.128158e+01       0       0 var1   41     5
433  186345.900 6.053615e+00       0       0 var1   41     6
434  335828.042 1.224023e+00       0       0 var1   41     7
435  334030.454 8.770120e+01       0       0 var1   41     9
436   77237.401 4.780010e+00       0       0 var1   41    11
437  148898.425 1.742359e+00       0       0 var1   41    12
438  122235.016 4.334122e+00       0       0 var1   41    13
439  131214.684 2.149489e+01       0       0 var1   41    14
440  159363.996 5.058614e+00       0       0 var1   41    15
441  157912.830 7.598650e+00       0       0 var1   41    16
442   54261.810 6.262904e+00       0       0 var1   41    17
443  252184.062 1.130674e+02       0       0 var1   41    18
444  238760.074 6.295768e-01       0       0 var1   41    20
445  190665.721 3.548872e+00       0       0 var1   41    21
446   27960.968 5.677596e-01       0       0 var1   41    23
447  312172.140 1.504182e-01       0       0 var1   41    24
448  304507.921 6.676636e+00       0       0 var1   41    26
449   49396.245 3.082810e-02       0       0 var1   41    27
450  294088.286 2.695466e-02       0       0 var1   41    28
451  165045.228 5.454705e-01       0       0 var1   41    30
452  193717.240 1.062519e+00       0       0 var1   41    31
453  156712.742 6.787823e+01       0       0 var1   41    32
454  334983.879 5.665373e-01       0       0 var1   41    33
455  173755.021 6.888957e+01       0       0 var1   41    34
456  213111.052 6.190974e-01       0       0 var1   41    36
457  284169.255 4.112891e+01       0       0 var1   41    37
458  213187.143 8.042231e-03       0       0 var1   41    38
459  321704.901 7.296718e-01       0       0 var1   41    40
460  106664.437 9.365308e+00       0       0 var1   42     2
461  180180.726 9.867133e+00       0       0 var1   42     7
462  197706.239 4.248677e+00       0       0 var1   42    11
463  337837.712 3.099750e+01       0       0 var1   42    12
464  270685.683 4.690256e+00       0       0 var1   42    13
465  125236.123 1.510899e-01       0       0 var1   42    14
466  286559.621 3.993679e+00       0       0 var1   42    15
467  332066.334 2.223052e+00       0       0 var1   42    16
468  215246.262 3.044940e+00       0       0 var1   42    17
469  248008.348 4.077792e+01       0       0 var1   42    18
470  120953.830 2.541182e+01       0       0 var1   42    20
471  233105.059 5.587126e+00       0       0 var1   42    21
472  208980.606 2.501054e+01       0       0 var1   42    23
473  215778.935 1.658099e+01       0       0 var1   42    27
474  322826.053 1.231305e+01       0       0 var1   42    30
475  285069.182 1.034761e+01       0       0 var1   42    31
476  220423.931 1.593023e+01       0       0 var1   42    32
477  290951.223 1.642210e+01       0       0 var1   42    34
478  105169.072 4.689941e+00       0       0 var1   42    37
479  188943.781 1.804173e+01       0       0 var1   42    41
480  150156.037 9.936496e+00       0       0 var1   43     3
481  182249.166 6.089340e+00       0       0 var1   43     4
482  168960.939 6.621208e+00       0       0 var1   43     5
483  193813.625 2.140317e-02       0       0 var1   43    11
484  292360.912 1.128966e+01       0       0 var1   43    12
485  121531.876 4.372743e-02       0       0 var1   43    15
486  207641.729 5.134291e-01       0       0 var1   43    16
487  318029.091 2.139566e-01       0       0 var1   43    17
488  277187.572 8.028631e+00       0       0 var1   43    20
489  288255.810 7.803773e+00       0       0 var1   43    23
490  322258.658 2.729723e+00       0       0 var1   43    24
491  335731.401 1.120948e+00       0       0 var1   43    25
492  151150.601 2.958203e-01       0       0 var1   43    26
493  223620.743 3.476158e+00       0       0 var1   43    27
494  282071.436 1.657240e+00       0       0 var1   43    33
495  251289.060 1.564018e+00       0       0 var1   43    35
496  182017.765 1.570504e+00       0       0 var1   43    36
497  237787.801 8.376587e+00       0       0 var1   43    40
498  269074.373 4.161703e+00       0       0 var1   43    41
499  164824.562 1.079767e+01       0       0 var1   44     1
500  279394.826 1.151438e-01       0       0 var1   44     6
501  207467.965 5.247280e+01       0       0 var1   44     9
502  203237.198 2.478844e-01       0       0 var1   44    10
503  313383.644 1.184093e+01       0       0 var1   44    12
504  105390.923 3.508764e+00       0       0 var1   44    19
505  278945.145 3.004132e+00       0       0 var1   44    24
506  319920.625 1.299154e+00       0       0 var1   44    25
507   59436.743 1.989567e+00       0       0 var1   44    29
508  310448.857 1.911365e+00       0       0 var1   44    30
509  316881.809 4.126597e+00       0       0 var1   44    38
510  274574.898 6.210494e+01       0       0 var1   44    39
511  288918.114 2.286074e+00       0       0 var1   45     2
512  252705.514 7.756839e+00       0       0 var1   45     6
513  272643.483 2.047923e+00       0       0 var1   45     7
514   94019.874 8.946137e+00       0       0 var1   45     8
515  296013.155 9.388821e+01       0       0 var1   45     9
516  203713.867 5.791512e+00       0       0 var1   45    13
517  181854.975 2.461111e+01       0       0 var1   45    14
518  232580.766 7.993513e+00       0       0 var1   45    17
519   47455.404 1.200781e+02       0       0 var1   45    18
520   83482.557 4.877673e+00       0       0 var1   45    21
521  260011.975 1.838674e-01       0       0 var1   45    23
522  322529.805 2.502800e-01       0       0 var1   45    27
523   69578.038 2.576727e-02       0       0 var1   45    28
524  226501.176 1.130523e+00       0       0 var1   45    30
525  114841.484 1.837344e+00       0       0 var1   45    31
526  117876.885 7.333396e+01       0       0 var1   45    32
527  153316.158 7.438502e+01       0       0 var1   45    34
528  186428.624 1.717100e-01       0       0 var1   45    38
529  256532.659 1.066356e+02       0       0 var1   45    39
530  274148.056 1.054305e-01       0       0 var1   45    41
531  292352.165 2.090552e+01       0       0 var1   45    42
532  256647.126 2.716803e+01       0       0 var1   46     1
533  228082.339 2.497481e+01       0       0 var1   46     3
534  222304.202 1.860127e+01       0       0 var1   46     4
535  205999.972 1.952253e+01       0       0 var1   46     5
536  135382.623 5.133143e+00       0       0 var1   46     6
537  282717.930 8.409122e+01       0       0 var1   46     9
538  309972.738 5.876724e+00       0       0 var1   46    10
539  124155.685 3.966303e+00       0       0 var1   46    11
540   54584.117 2.294467e+00       0       0 var1   46    12
541  116849.797 3.561109e+00       0       0 var1   46    13
542  213641.820 1.972686e+01       0       0 var1   46    14
543  149397.778 4.220439e+00       0       0 var1   46    15
544   90477.978 6.562816e+00       0       0 var1   46    16
545   92486.768 5.326006e+00       0       0 var1   46    17
546  306216.131 1.089633e+02       0       0 var1   46    18
547  311028.224 1.443609e+01       0       0 var1   46    19
548  322103.921 9.765870e-01       0       0 var1   46    20
549  236686.417 2.852990e+00       0       0 var1   46    21
550   79602.909 8.992040e-01       0       0 var1   46    23
551  221686.398 3.727698e-02       0       0 var1   46    24
552  288136.931 6.186000e-01       0       0 var1   46    25
553  256180.477 5.708054e+00       0       0 var1   46    26
554   82011.204 3.681061e-04       0       0 var1   46    27
555  314787.613 1.288409e-01       0       0 var1   46    28
556  314527.541 1.113447e+01       0       0 var1   46    29
557  129645.085 2.957122e-01       0       0 var1   46    30
558  210718.096 6.989301e-01       0       0 var1   46    31
559  202212.593 6.470689e+01       0       0 var1   46    32
560  254035.839 3.112761e-01       0       0 var1   46    33
561  177323.728 6.569441e+01       0       0 var1   46    34
562  335345.390 3.536116e-01       0       0 var1   46    35
563  151198.681 3.505374e-01       0       0 var1   46    36
564  192471.209 1.104327e-02       0       0 var1   46    38
565  325439.372 9.617695e+01       0       0 var1   46    39
566  249696.598 1.100346e+00       0       0 var1   46    40
567   94555.958 3.793357e-02       0       0 var1   46    41
568  283409.120 1.642511e+01       0       0 var1   46    42
569  270896.558 3.404983e+00       0       0 var1   46    43
570  315402.795 2.698450e-01       0       0 var1   46    45
571  147919.254 6.749813e-02       0       0 var1   47     3
572  172769.307 1.804193e-01       0       0 var1   47     4
573  153895.465 1.019180e-01       0       0 var1   47     5
574  332999.057 6.110944e+00       0       0 var1   47     6
575  117782.772 7.541167e+00       0       0 var1   47    11
576  225519.089 3.909283e+01       0       0 var1   47    12
577  298793.628 8.125844e+00       0       0 var1   47    13
578  303347.129 8.772490e-02       0       0 var1   47    14
579   50864.885 7.200130e+00       0       0 var1   47    15
580  147471.518 4.734441e+00       0       0 var1   47    16
581  240590.221 5.904231e+00       0       0 var1   47    17
582  242484.309 3.278594e+01       0       0 var1   47    20
583  210814.023 3.232992e+01       0       0 var1   47    23
584  289843.641 2.065343e+01       0       0 var1   47    24
585  319703.031 1.561171e+01       0       0 var1   47    25
586  162559.965 5.515561e+00       0       0 var1   47    26
587  146181.363 2.262774e+01       0       0 var1   47    27
588  324966.612 1.758865e+01       0       0 var1   47    30
589  266643.150 1.747035e+01       0       0 var1   47    33
590  270364.797 1.716465e+01       0       0 var1   47    35
591  142338.239 1.718612e+01       0       0 var1   47    36
592  333176.229 2.192592e+00       0       0 var1   47    37
593  229394.634 3.348532e+01       0       0 var1   47    40
594  191917.647 2.432898e+01       0       0 var1   47    41
595  286566.806 4.690698e-01       0       0 var1   47    42
596   77441.807 8.366075e+00       0       0 var1   47    43
597  197618.883 2.244558e+01       0       0 var1   47    46
598  286076.492 4.555324e+01       0       0 var1   48     2
599  180907.808 2.998856e+01       0       0 var1   48     6
600  291673.408 4.665211e+01       0       0 var1   48     7
601  149013.457 2.777587e+01       0       0 var1   48     8
602  254314.938 2.040045e+00       0       0 var1   48     9
603  277589.573 3.306557e+01       0       0 var1   48    11
604  264708.285 8.568418e+01       0       0 var1   48    12
605  124709.756 3.427792e+01       0       0 var1   48    13
606  136676.270 1.089219e+01       0       0 var1   48    14
607  326395.342 2.683267e+01       0       0 var1   48    16
608  155900.757 2.952848e+01       0       0 var1   48    17
609   83610.008 7.272318e+00       0       0 var1   48    18
610   28863.306 3.663573e+01       0       0 var1   48    21
611  184455.643 7.551764e+01       0       0 var1   48    23
612  248361.959 6.023330e+01       0       0 var1   48    27
613   95729.530 6.562246e+01       0       0 var1   48    28
614  152297.372 5.181165e+01       0       0 var1   48    30
615   44406.413 4.769014e+01       0       0 var1   48    31
616   47328.808 9.134533e-02       0       0 var1   48    32
617   79604.034 1.320477e-01       0       0 var1   48    34
618  125040.173 6.157403e+01       0       0 var1   48    38
619  234314.141 4.264884e+00       0       0 var1   48    39
620  201469.359 6.298947e+01       0       0 var1   48    41
621  260383.057 1.360898e+01       0       0 var1   48    42
622   79369.916 6.824893e+01       0       0 var1   48    45
623  236226.901 5.993586e+01       0       0 var1   48    46
624  247430.768 1.283122e+01       0       0 var1   49     2
625  192307.841 1.225804e+01       0       0 var1   49     7
626  194726.999 2.561475e+01       0       0 var1   49     8
627  337017.315 2.004038e+01       0       0 var1   49    13
628  245762.133 4.943567e+01       0       0 var1   49    14
629  134457.487 1.697316e+02       0       0 var1   49    18
630  204651.786 1.830674e+01       0       0 var1   49    21
631  209865.579 4.975638e+00       0       0 var1   49    28
632  259650.713 1.173459e+01       0       0 var1   49    31
633  236351.987 1.130738e+02       0       0 var1   49    32
634  296673.885 1.143780e+02       0       0 var1   49    34
635  336068.867 6.172597e+00       0       0 var1   49    38
636  304974.678 4.412079e+01       0       0 var1   49    42
637  150974.229 4.285281e+00       0       0 var1   49    45
638  217178.617 1.067375e+02       0       0 var1   49    48
639  327781.038 3.795250e+01       0       0 var1   50     1
640  300398.170 3.766605e+00       0       0 var1   50     2
641  282265.728 3.535187e+01       0       0 var1   50     3
642  282939.041 2.768004e+01       0       0 var1   50     4
643  264505.098 2.880141e+01       0       0 var1   50     5
644  155330.502 1.032920e+01       0       0 var1   50     6
645  331851.532 1.169508e+01       0       0 var1   50     8
646  303144.484 1.023818e+02       0       0 var1   50     9
647  102121.190 8.642551e+00       0       0 var1   50    11
648  127743.494 3.209064e-01       0       0 var1   50    12
649   93405.339 8.039230e+00       0       0 var1   50    13
650  138359.216 2.904947e+01       0       0 var1   50    14
651  173127.782 9.015814e+00       0       0 var1   50    15
652  153170.346 1.232054e+01       0       0 var1   50    16
653   29728.938 1.060204e+01       0       0 var1   50    17
654  244115.924 1.296595e+02       0       0 var1   50    18
655  269200.107 1.596840e-03       0       0 var1   50    20
656  178406.172 6.955579e+00       0       0 var1   50    21
657    4075.178 0.000000e+00       0       0 var1   50    23
658  297425.558 1.302648e+00       0       0 var1   50    24
659  309399.440 1.113835e+01       0       0 var1   50    26
660   64793.293 8.631852e-01       0       0 var1   50    27
661  274663.849 3.472975e-01       0       0 var1   50    28
662  134285.064 2.226237e+00       0       0 var1   50    30
663  171851.562 3.183670e+00       0       0 var1   50    31
664  143479.076 8.086187e+01       0       0 var1   50    32
665  326516.196 2.268593e+00       0       0 var1   50    33
666  148203.984 8.196537e+01       0       0 var1   50    34
667  211876.997 2.372603e+00       0       0 var1   50    36
668  311216.197 5.136131e+01       0       0 var1   50    37
669  184253.612 7.109470e-01       0       0 var1   50    38
670  329582.998 1.156754e+02       0       0 var1   50    39
671  317535.610 1.014251e-02       0       0 var1   50    40
672   31020.122 5.677596e-01       0       0 var1   50    41
673  213051.810 2.501054e+01       0       0 var1   50    42
674  288379.428 7.803773e+00       0       0 var1   50    43
675  261184.583 1.838674e-01       0       0 var1   50    45
676   75834.138 8.992040e-01       0       0 var1   50    46
677  210949.120 3.232992e+01       0       0 var1   50    47
678  185201.952 7.551764e+01       0       0 var1   50    48
679  199561.091 1.307536e+01       0       0 var1   51     3
680  222342.476 8.593253e+00       0       0 var1   51     4
681  202663.220 9.222986e+00       0       0 var1   51     5
682  329492.687 7.817223e-01       0       0 var1   51     6
683   88942.377 3.721786e-01       0       0 var1   51    11
684  235849.865 8.388225e+00       0       0 var1   51    12
685  283160.846 2.556278e-01       0       0 var1   51    13
686  262875.250 9.363595e+00       0       0 var1   51    14
687   78587.228 4.527638e-01       0       0 var1   51    15
688  171097.458 1.393122e+00       0       0 var1   51    16
689  218996.081 8.580699e-01       0       0 var1   51    17
690  190550.501 5.615562e+00       0       0 var1   51    20
691  189526.064 5.427769e+00       0       0 var1   51    23
692  327723.556 1.412344e+00       0       0 var1   51    24
693  215516.468 1.015378e+00       0       0 var1   51    26
694  128269.191 1.961903e+00       0       0 var1   51    27
695  316622.017 7.017399e-01       0       0 var1   51    30
696  318444.478 4.438978e+01       0       0 var1   51    32
697  312377.208 6.782712e-01       0       0 var1   51    33
698  338723.426 4.520835e+01       0       0 var1   51    34
699  323281.463 6.191187e-01       0       0 var1   51    35
700  182089.547 6.232021e-01       0       0 var1   51    36
701  280027.238 2.339583e+01       0       0 var1   51    37
702  277969.994 5.907171e+00       0       0 var1   51    40
703  166057.737 2.484592e+00       0       0 var1   51    41
704  234878.005 7.135824e+00       0       0 var1   51    42
705  114131.667 2.150791e-01       0       0 var1   51    43
706  197226.144 1.908524e+00       0       0 var1   51    46
707   53352.696 1.126396e+01       0       0 var1   51    47
708  190649.052 5.427769e+00       0       0 var1   51    50
709  258929.136 6.830709e+00       0       0 var1   52     2
710  200820.553 6.414277e+00       0       0 var1   52     7
711  199777.792 1.674934e+01       0       0 var1   52     8
712  261475.189 3.675444e+01       0       0 var1   52    14
713  148594.914 1.454340e+02       0       0 var1   52    18
714  219068.039 1.095697e+01       0       0 var1   52    21
715  218760.756 1.592916e+00       0       0 var1   52    28
716  272740.615 6.037204e+00       0       0 var1   52    31
717  251139.752 9.341437e+01       0       0 var1   52    32
718  310063.722 9.460015e+01       0       0 var1   52    34
719  319247.689 3.219248e+01       0       0 var1   52    42
720  162409.856 1.213491e+00       0       0 var1   52    45
721  230736.256 8.766346e+01       0       0 var1   52    48
722   15723.581 9.380044e-01       0       0 var1   52    49
723  155438.904 1.768871e-01       0       0 var1   53     2
724  128271.775 1.153684e-01       0       0 var1   53     7
725  228227.173 3.608526e+00       0       0 var1   53     8
726  332584.252 2.015340e+00       0       0 var1   53    11
727  270173.590 1.729642e+00       0       0 var1   53    13
728  146715.330 1.497350e+01       0       0 var1   53    14
729  260491.663 3.013289e+00       0       0 var1   53    17
730  100352.125 9.735014e+01       0       0 var1   53    18
731  317545.019 2.434085e+00       0       0 var1   53    20
732  148146.717 1.248020e+00       0       0 var1   53    21
733  277436.834 2.310993e+00       0       0 var1   53    23
734  324684.599 3.494197e-01       0       0 var1   53    27
735  213827.607 8.665291e-01       0       0 var1   53    28
736  312567.956 7.916889e-04       0       0 var1   53    30
737  215800.715 6.974308e-02       0       0 var1   53    31
738  169399.979 5.583269e+01       0       0 var1   53    32
739  246097.180 5.675027e+01       0       0 var1   53    34
740  265905.181 3.188280e+01       0       0 var1   53    37
741  296550.232 4.583537e-01       0       0 var1   53    38
742  277283.290 5.878238e-01       0       0 var1   53    41
743  197733.551 1.211638e+01       0       0 var1   53    42
744  144374.453 1.191148e+00       0       0 var1   53    45
745  172019.628 5.140738e+01       0       0 var1   53    48
746  107992.848 9.995015e+00       0       0 var1   53    49
747  280442.589 2.310993e+00       0       0 var1   53    50
748  122887.840 4.809175e+00       0       0 var1   53    52
749  204754.354 5.870797e+00       0       0 var1   54     6
750  138884.953 6.910967e+00       0       0 var1   54     8
751  140708.265 8.700142e+01       0       0 var1   54     9
752  328526.214 1.842592e+00       0       0 var1   54    12
753  224790.666 4.179647e+00       0       0 var1   54    13
754  318625.835 2.114916e+01       0       0 var1   54    14
755  289882.030 6.076928e+00       0       0 var1   54    17
756  232545.428 1.122726e+02       0       0 var1   54    18
757  212581.581 3.409223e+00       0       0 var1   54    21
758  318665.771 6.255784e-01       0       0 var1   54    23
759  120569.686 4.064886e-02       0       0 var1   54    28
760  201310.940 4.915732e-01       0       0 var1   54    30
761  161076.011 9.867421e-01       0       0 var1   54    31
762  223713.986 6.726276e+01       0       0 var1   54    32
763  170657.759 6.826952e+01       0       0 var1   54    34
764  138187.989 2.729184e-03       0       0 var1   54    38
765   75191.122 9.928754e+01       0       0 var1   54    39
766  189590.304 1.311436e-01       0       0 var1   54    45
767  330591.614 2.475227e-02       0       0 var1   54    46
768  184130.302 6.239663e+01       0       0 var1   54    48
769  326837.998 5.915740e+00       0       0 var1   54    49
770  317281.206 6.255784e-01       0       0 var1   54    50
771  334102.712 2.142486e+00       0       0 var1   54    52
772  332727.535 5.318199e-01       0       0 var1   54    53
773  240986.387 9.348113e-02       0       0 var1   55     1
774   56335.897 6.974380e+00       0       0 var1   55     6
775  264928.715 5.929254e+00       0       0 var1   55     8
776   93766.949 1.817809e+01       0       0 var1   55     9
777  314001.964 6.162080e+00       0       0 var1   55    10
778  304020.791 8.497175e+00       0       0 var1   55    11
779  172640.293 4.123308e+01       0       0 var1   55    12
780  127768.215 9.117135e+00       0       0 var1   55    13
781  282002.119 2.162777e-01       0       0 var1   55    14
782  260380.498 5.497852e+00       0       0 var1   55    16
783  192197.807 6.753425e+00       0       0 var1   55    17
784  277940.802 3.060302e+01       0       0 var1   55    18
785  255186.448 1.225591e+00       0       0 var1   55    19
786  218380.844 1.035211e+01       0       0 var1   55    21
787  212943.578 3.427884e+01       0       0 var1   55    23
788  291289.933 2.221686e+01       0       0 var1   55    24
789  260388.879 2.426287e+01       0       0 var1   55    27
790  214366.532 2.772542e+01       0       0 var1   55    28
791  225348.775 2.464000e+00       0       0 var1   55    29
792   76965.075 1.903363e+01       0       0 var1   55    30
793  151441.224 1.656921e+01       0       0 var1   55    31
794  202499.280 9.843967e+00       0       0 var1   55    32
795  121367.440 1.023142e+01       0       0 var1   55    34
796  311594.494 1.861480e+01       0       0 var1   55    36
797   71279.135 2.511650e+01       0       0 var1   55    38
798  138365.813 2.401427e+01       0       0 var1   55    39
799  240878.440 2.602341e+01       0       0 var1   55    41
800  246808.135 8.881792e+00       0       0 var1   55    44
801  256820.882 2.944164e+01       0       0 var1   55    45
802  190777.786 2.407423e+01       0       0 var1   55    46
803  195839.387 8.038789e+00       0       0 var1   55    48
804  209904.279 3.427884e+01       0       0 var1   55    50
805  165823.348 2.564286e+01       0       0 var1   55    54
806  202125.859 1.105284e+01       0       0 var1   56     1
807  292338.108 9.670642e+00       0       0 var1   56     3
808  276610.951 5.881613e+00       0       0 var1   56     4
809  265520.943 6.404521e+00       0       0 var1   56     5
810   53296.391 1.428305e-01       0       0 var1   56     6
811  331905.648 3.408557e-01       0       0 var1   56     8
812  185652.065 5.303352e+01       0       0 var1   56     9
813  269231.474 2.878116e-01       0       0 var1   56    10
814  222505.411 1.078338e-02       0       0 var1   56    11
815   74101.321 1.157677e+01       0       0 var1   56    12
816  104577.294 3.904855e-07       0       0 var1   56    13
817  257509.251 6.521781e+00       0       0 var1   56    14
818  244033.676 2.777419e-02       0       0 var1   56    15
819  161896.593 4.543899e-01       0       0 var1   56    16
820  139896.645 1.764834e-01       0       0 var1   56    17
821  303842.851 7.311676e+01       0       0 var1   56    18
822  241381.050 3.654866e+00       0       0 var1   56    19
823  234412.282 3.945601e-02       0       0 var1   56    21
824  148706.513 8.042774e+00       0       0 var1   56    23
825  215611.887 2.871813e+00       0       0 var1   56    24
826  289364.309 1.212649e+00       0       0 var1   56    25
827  319870.065 2.514406e-01       0       0 var1   56    26
828  178963.493 3.636271e+00       0       0 var1   56    27
829  275039.057 5.047477e+00       0       0 var1   56    28
830  232116.066 2.099952e+00       0       0 var1   56    29
831   71533.842 1.806122e+00       0       0 var1   56    30
832  182750.763 1.106061e+00       0       0 var1   56    31
833  206318.487 3.790057e+01       0       0 var1   56    32
834  272323.837 1.768351e+00       0       0 var1   56    33
835  144250.194 3.865723e+01       0       0 var1   56    34
836  213618.254 1.678716e+00       0       0 var1   56    36
837  128501.395 3.971259e+00       0       0 var1   56    38
838  236896.208 6.271483e+01       0       0 var1   56    39
839  285159.376 8.624140e+00       0       0 var1   56    40
840  174107.287 4.336724e+00       0       0 var1   56    41
841  273507.503 1.490024e-03       0       0 var1   56    44
842  297562.022 5.794520e+00       0       0 var1   56    45
843  100205.453 3.563467e+00       0       0 var1   56    46
844  294045.744 8.122281e+00       0       0 var1   56    47
845  221876.279 3.427061e+01       0       0 var1   56    48
846  144817.849 8.042774e+00       0       0 var1   56    50
847  297284.276 2.562601e-01       0       0 var1   56    51
848  257164.869 4.182203e+00       0       0 var1   56    54
849   98539.396 9.113361e+00       0       0 var1   56    55
850  277983.658 8.124639e-02       0       0 var1   57     2
851  144693.935 9.763334e-01       0       0 var1   57     6
852  303290.169 1.339251e-01       0       0 var1   57     7
853  221167.376 1.425624e+00       0       0 var1   57     8
854  258847.492 6.229279e+01       0       0 var1   57     9
855  205919.067 5.098098e-01       0       0 var1   57    11
856  200867.724 7.796928e+00       0       0 var1   57    12
857   67512.640 3.715411e-01       0       0 var1   57    13
858  103743.172 1.001054e+01       0       0 var1   57    14
859  284576.937 6.034532e-01       0       0 var1   57    15
860  255330.112 1.649301e+00       0       0 var1   57    16
861   82279.215 1.061448e+00       0       0 var1   57    17
862  140605.199 8.392393e+01       0       0 var1   57    18
863  320846.021 5.133725e+00       0       0 var1   57    20
864   70532.963 1.693579e-01       0       0 var1   57    21
865  110852.913 4.954239e+00       0       0 var1   57    23
866  175000.929 1.681520e+00       0       0 var1   57    27
867  165104.912 2.678108e+00       0       0 var1   57    28
868  113155.668 5.383949e-01       0       0 var1   57    30
869   68350.272 1.949469e-01       0       0 var1   57    31
870   36640.055 4.578567e+01       0       0 var1   57    32
871   65323.893 4.661695e+01       0       0 var1   57    34
872  315942.105 4.698914e-01       0       0 var1   57    36
873  330650.959 2.441218e+01       0       0 var1   57    37
874  120712.693 1.911680e+00       0       0 var1   57    38
875  260377.848 7.275128e+01       0       0 var1   57    39
876  129017.428 2.167708e+00       0       0 var1   57    41
877  225627.727 7.701966e+00       0       0 var1   57    42
878  150793.123 3.229260e+00       0       0 var1   57    45
879  166168.357 1.632130e+00       0       0 var1   57    46
880  320525.025 1.197249e+01       0       0 var1   57    47
881   73655.249 4.178688e+01       0       0 var1   57    48
882  272953.364 1.495451e+01       0       0 var1   57    49
883  111550.232 4.954239e+00       0       0 var1   57    50
884  294157.367 1.080460e-02       0       0 var1   57    51
885  287767.759 8.401882e+00       0       0 var1   57    52
886  202662.416 4.978954e-01       0       0 var1   57    53
887  228162.956 2.058871e+00       0       0 var1   57    54
888  179459.073 1.316965e+01       0       0 var1   57    55
889  172089.927 3.723033e-01       0       0 var1   57    56
890   67394.967 2.149399e+01       0       0 var1   58     3
891   98917.715 1.561513e+01       0       0 var1   58     4
892   85741.233 1.646015e+01       0       0 var1   58     5
893  192953.073 2.657677e+00       0       0 var1   58    11
894  237273.570 3.519637e+00       0       0 var1   58    12
895   98232.648 2.866422e+00       0       0 var1   58    15
896  149389.992 4.842111e+00       0       0 var1   58    16
897  297055.907 3.788840e+00       0       0 var1   58    17
898  331573.669 1.821269e+00       0       0 var1   58    20
899  274409.888 1.727406e+00       0       0 var1   58    22
900  269001.351 1.715009e+00       0       0 var1   58    23
901  240398.903 2.830714e-02       0       0 var1   58    24
902  252445.622 1.807879e-01       0       0 var1   58    25
903   74266.387 4.112109e+00       0       0 var1   58    26
904  207467.981 1.447847e-01       0       0 var1   58    27
905  198717.653 3.865215e-02       0       0 var1   58    33
906  181296.868 5.444419e-02       0       0 var1   58    35
907  107863.545 5.324199e-02       0       0 var1   58    36
908  155030.072 1.988928e+00       0       0 var1   58    40
909  256789.755 3.092307e-01       0       0 var1   58    41
910   83442.012 2.202078e+00       0       0 var1   58    43
911  229759.240 1.305520e-01       0       0 var1   58    46
912   90631.155 1.915250e+01       0       0 var1   58    47
913  267945.784 1.715009e+00       0       0 var1   58    50
914  143981.455 1.040754e+00       0       0 var1   58    51
915  311280.582 2.329882e+00       0       0 var1   58    56
916  190486.619 1.693549e-01       0       0 var1   59     2
917  265964.634 1.093012e-01       0       0 var1   59     7
918  132376.296 1.989721e+00       0       0 var1   59    11
919  295956.542 4.392097e+00       0       0 var1   59    12
920  266021.876 1.705915e+00       0       0 var1   59    13
921  161888.869 1.490353e+01       0       0 var1   59    14
922  210161.143 2.170871e+00       0       0 var1   59    15
923  270931.565 3.923633e+00       0       0 var1   59    16
924  199725.792 2.981945e+00       0       0 var1   59    17
925  304111.269 9.717160e+01       0       0 var1   59    18
926   83820.210 2.462412e+00       0       0 var1   59    20
927  271042.150 1.227877e+00       0       0 var1   59    21
928  182163.109 2.338596e+00       0       0 var1   59    23
929  163386.501 3.602032e-01       0       0 var1   59    27
930  314948.864 1.383014e-03       0       0 var1   59    30
931  307684.226 6.504398e-02       0       0 var1   59    31
932  248487.450 5.569750e+01       0       0 var1   59    32
933  302613.249 5.661397e+01       0       0 var1   59    34
934  306678.407 1.227399e-04       0       0 var1   59    36
935  140742.981 3.178066e+01       0       0 var1   59    37
936  155688.207 6.017859e-01       0       0 var1   59    41
937   86049.927 1.205344e+01       0       0 var1   59    42
938  258543.316 1.598395e+00       0       0 var1   59    43
939  242325.663 3.375415e-01       0       0 var1   59    46
940  203618.054 1.727810e+01       0       0 var1   59    47
941  294357.695 5.127766e+01       0       0 var1   59    48
942  185811.374 2.338596e+00       0       0 var1   59    50
943  150887.082 6.408167e-01       0       0 var1   59    51
944  273424.844 8.193737e-05       0       0 var1   59    53
945  329725.997 1.707548e+00       0       0 var1   59    56
946  240632.114 4.852029e-01       0       0 var1   59    57
947  293802.132 4.825203e-02       0       0 var1   59    58
948  226625.110 3.852518e+01       0       0 var1   60     1
949  198860.158 3.590466e+01       0       0 var1   60     3
950  189553.249 2.816943e+01       0       0 var1   60     4
951  174725.619 2.930057e+01       0       0 var1   60     5
952  148922.313 1.062899e+01       0       0 var1   60     6
953  288545.593 1.033210e+02       0       0 var1   60     9
954  275780.791 1.168796e+01       0       0 var1   60    10
955  142961.286 8.916958e+00       0       0 var1   60    11
956   33041.418 2.705874e-01       0       0 var1   60    12
957  148604.623 8.303962e+00       0       0 var1   60    13
958  251981.387 2.955077e+01       0       0 var1   60    14
959  142300.788 9.296037e+00       0       0 var1   60    15
960   61715.231 1.264776e+01       0       0 var1   60    16
961  131055.747 1.090574e+01       0       0 var1   60    17
962  284683.761 2.298296e+01       0       0 var1   60    19
963  273239.965 7.201972e+00       0       0 var1   60    21
964  333966.460 1.728979e-03       0       0 var1   60    22
965  117421.212 2.144236e-03       0       0 var1   60    23
966  183745.715 1.410494e+00       0       0 var1   60    24
967  249553.169 3.172249e+00       0       0 var1   60    25
968  227007.294 1.144958e+01       0       0 var1   60    26
969  106053.316 9.513730e-01       0       0 var1   60    27
970  293582.537 1.876107e+01       0       0 var1   60    29
971  150877.385 2.366563e+00       0       0 var1   60    30
972  242802.775 3.351060e+00       0       0 var1   60    31
973  239125.600 8.169681e+01       0       0 var1   60    32
974  215683.551 2.410228e+00       0       0 var1   60    33
975  207510.038 8.280597e+01       0       0 var1   60    34
976  300375.190 2.525627e+00       0       0 var1   60    35
977  120022.537 2.517400e+00       0       0 var1   60    36
978  214828.478 7.911794e-01       0       0 var1   60    38
979  338559.323 1.166736e+02       0       0 var1   60    39
980  213066.707 2.959813e-03       0       0 var1   60    40
981  129467.887 6.396867e-01       0       0 var1   60    41
982  316827.662 2.547584e+01       0       0 var1   60    42
983  261032.095 8.064630e+00       0       0 var1   60    43
984   38627.314 9.891687e-01       0       0 var1   60    46
985  192926.198 3.285865e+01       0       0 var1   60    47
986  271127.421 7.632459e+01       0       0 var1   60    48
987  113787.325 2.144236e-03       0       0 var1   60    50
988  202916.411 5.645676e+00       0       0 var1   60    51
989  200718.234 3.482320e+01       0       0 var1   60    55
990  103057.546 8.307564e+00       0       0 var1   60    56
991  202755.307 5.162520e+00       0       0 var1   60    57
992  209689.304 1.838436e+00       0       0 var1   60    58
993  269436.370 2.482367e+00       0       0 var1   60    59
994  107758.032 2.090080e+01       0       0 var1   61     1
995  199661.775 1.898278e+01       0       0 var1   61     3
996  172357.161 1.348624e+01       0       0 var1   61     4
997  171052.069 1.427233e+01       0       0 var1   61     5
998  197207.361 2.640907e+00       0       0 var1   61     6
999  284378.615 7.275355e+01       0       0 var1   61     9
1000 147832.802 3.181366e+00       0       0 var1   61    10
1001 263842.307 1.825203e+00       0       0 var1   61    11
1002 111884.710 4.645348e+00       0       0 var1   61    12
1003 242910.703 1.553844e+00       0       0 var1   61    13
1004 227213.478 1.998869e+00       0       0 var1   61    15
1005 132204.469 3.691171e+00       0       0 var1   61    16
1006 250444.136 2.779746e+00       0       0 var1   61    17
1007 173451.661 9.978827e+00       0       0 var1   61    19
1008 240977.452 2.539388e+00       0       0 var1   61    22
1009 242684.884 2.524352e+00       0       0 var1   61    23
1010  69041.681 2.002426e-01       0       0 var1   61    24
1011 142853.512 2.130260e-02       0       0 var1   61    25
1012 221987.907 3.057589e+00       0       0 var1   61    26
1013 232061.506 4.352612e-01       0       0 var1   61    27
1014 198864.467 7.269919e+00       0       0 var1   61    29
1015 218057.726 9.363061e-03       0       0 var1   61    30
1016 328556.009 3.820586e-02       0       0 var1   61    31
1017 132167.851 6.828702e-03       0       0 var1   61    33
1018 290079.121 5.572102e+01       0       0 var1   61    34
1019 247520.350 2.107239e-03       0       0 var1   61    35
1020 139914.058 2.351786e-03       0       0 var1   61    36
1021 272859.366 5.559852e-01       0       0 var1   61    38
1022 157468.598 2.854515e+00       0       0 var1   61    40
1023 257276.990 6.977639e-01       0       0 var1   61    41
1024 321793.255 1.451308e+00       0       0 var1   61    43
1025 257281.352 1.653175e+00       0       0 var1   61    44
1026 163449.398 4.103136e-01       0       0 var1   61    46
1027 274317.929 1.678639e+01       0       0 var1   61    47
1028 238796.686 2.524352e+00       0       0 var1   61    50
1029 302997.170 5.489866e-01       0       0 var1   61    51
1030 224767.549 1.819869e+01       0       0 var1   61    55
1031 146582.096 1.555402e+00       0       0 var1   61    56
1032 307979.320 4.057576e-01       0       0 var1   61    57
1033 246375.085 7.797357e-02       0       0 var1   61    58
1034 128143.184 2.673640e+00       0       0 var1   61    60
1035 337065.473 3.076644e+01       0       0 var1   62     1
1036 296322.559 1.760836e+00       0       0 var1   62     2
1037 336947.787 2.842953e+01       0       0 var1   62     3
1038 334282.637 2.159807e+01       0       0 var1   62     4
1039 316983.577 2.258991e+01       0       0 var1   62     5
1040 125603.590 6.760511e+00       0       0 var1   62     6
1041 333034.356 1.552627e+00       0       0 var1   62     7
1042 270833.798 7.873622e+00       0       0 var1   62     8
1043 262289.854 9.033706e+01       0       0 var1   62     9
1044 161690.324 5.410332e+00       0       0 var1   62    11
1045 152354.493 1.393098e+00       0       0 var1   62    12
1046  45329.816 4.935258e+00       0       0 var1   62    13
1047 120248.295 2.280967e+01       0       0 var1   62    14
1048 234052.531 5.706485e+00       0       0 var1   62    15
1049 202240.442 8.388285e+00       0       0 var1   62    16
1050  31952.139 6.981582e+00       0       0 var1   62    17
1051 192561.464 1.160576e+02       0       0 var1   62    18
1052 304723.548 4.274152e-01       0       0 var1   62    20
1053 123360.045 4.094689e+00       0       0 var1   62    21
1054  61799.896 3.767621e-01       0       0 var1   62    23
1055 327058.957 2.782844e-01       0       0 var1   62    24
1056 126316.386 9.939396e-02       0       0 var1   62    27
1057 213334.739 5.997600e-04       0       0 var1   62    28
1058  96925.693 7.713204e-01       0       0 var1   62    30
1059 110315.872 1.370011e+00       0       0 var1   62    31
1060  88645.352 7.019948e+01       0       0 var1   62    32
1061  88813.142 7.122791e+01       0       0 var1   62    34
1062 262795.105 8.584322e-01       0       0 var1   62    36
1063 330171.039 4.294012e+01       0       0 var1   62    37
1064 132183.805 5.260932e-02       0       0 var1   62    38
1065 278624.493 1.028488e+02       0       0 var1   62    39
1066  85029.683 1.951294e-02       0       0 var1   62    41
1067 226067.223 1.924791e+01       0       0 var1   62    42
1068 203918.050 3.422939e-02       0       0 var1   62    45
1069 113659.187 1.118596e-01       0       0 var1   62    46
1070 272489.052 2.572651e+01       0       0 var1   62    47
1071 125956.616 6.522629e+01       0       0 var1   62    48
1072 323034.212 5.085494e+00       0       0 var1   62    49
1073  61543.944 3.767621e-01       0       0 var1   62    50
1074 250628.804 2.944476e+00       0       0 var1   62    51
1075 338128.015 1.655333e+00       0       0 var1   62    52
1076 244999.937 8.215346e-01       0       0 var1   62    53
1077 259369.421 3.137349e-02       0       0 var1   62    54
1078 173056.345 2.746812e+01       0       0 var1   62    55
1079 137308.070 4.938035e+00       0       0 var1   62    56
1080  53207.434 2.598552e+00       0       0 var1   62    57
1081 327471.590 4.841013e-01       0       0 var1   62    58
1082 221385.673 8.380256e-01       0       0 var1   62    59
1083 150998.722 4.357524e-01       0       0 var1   62    60
1084 262381.838 9.506472e-01       0       0 var1   62    61
1085 117327.055 5.180362e+00       0       0 var1   63     1
1086 177003.819 4.248649e+00       0       0 var1   63     3
1087 147529.327 1.895202e+00       0       0 var1   63     4
1088 149162.334 2.196843e+00       0       0 var1   63     5
1089 228542.444 4.497194e-01       0       0 var1   63     6
1090 316334.495 3.886115e+01       0       0 var1   63     9
1091 140555.841 2.622052e-01       0       0 var1   63    10
1092 271095.557 8.924531e-01       0       0 var1   63    11
1093 134180.309 1.981145e+01       0       0 var1   63    12
1094 270143.780 1.100748e+00       0       0 var1   63    13
1095 223083.952 7.777204e-01       0       0 var1   63    15
1096 133996.699 1.402173e-01       0       0 var1   63    16
1097 271989.504 3.949384e-01       0       0 var1   63    17
1098 184896.165 7.451660e-01       0       0 var1   63    19
1099 209366.640 1.512622e+01       0       0 var1   63    22
1100 261387.331 1.508949e+01       0       0 var1   63    23
1101  40602.588 7.525052e+00       0       0 var1   63    24
1102 112884.359 4.621399e+00       0       0 var1   63    25
1103 197249.506 2.993205e-01       0       0 var1   63    26
1104 243309.628 8.734634e+00       0       0 var1   63    27
1105 217106.511 1.604648e-01       0       0 var1   63    29
1106 248217.593 5.723870e+00       0       0 var1   63    30
1107  99548.998 5.656473e+00       0       0 var1   63    33
1108 319451.300 2.671808e+01       0       0 var1   63    34
1109 215713.493 5.483104e+00       0       0 var1   63    35
1110 127050.223 5.495242e+00       0       0 var1   63    36
1111 304321.238 9.249763e+00       0       0 var1   63    38
1112 126727.738 1.588205e+01       0       0 var1   63    40
1113 273352.293 9.803291e+00       0       0 var1   63    41
1114 308034.714 1.190271e+00       0       0 var1   63    43
1115 276390.277 1.019978e+00       0       0 var1   63    44
1116 181827.412 8.621595e+00       0       0 var1   63    46
1117 267294.656 3.245118e+00       0       0 var1   63    47
1118 257651.423 1.508949e+01       0       0 var1   63    50
1119 300866.428 2.417284e+00       0       0 var1   63    51
1120 257329.669 3.882058e+00       0       0 var1   63    55
1121 177060.550 1.099437e+00       0       0 var1   63    56
1122 333882.278 2.751309e+00       0       0 var1   63    57
1123 229286.331 6.630293e+00       0       0 var1   63    58
1124 144276.019 1.545138e+01       0       0 var1   63    60
1125  32635.070 5.270230e+00       0       0 var1   63    61
1126 286461.572 1.069754e+01       0       0 var1   63    62
1127 221354.387 6.717310e+00       0       0 var1   64     6
1128  95324.586 7.826995e+00       0       0 var1   64     8
1129 180866.511 9.017895e+01       0       0 var1   64     9
1130 225523.912 4.898357e+00       0       0 var1   64    13
1131 297478.735 2.273026e+01       0       0 var1   64    14
1132 285885.608 6.937679e+00       0       0 var1   64    17
1133 197320.318 1.158784e+02       0       0 var1   64    18
1134 187777.679 4.061083e+00       0       0 var1   64    21
1135 315504.364 3.870462e-01       0       0 var1   64    23
1136  82654.058 1.076551e-03       0       0 var1   64    28
1137 211818.927 7.567741e-01       0       0 var1   64    30
1138 147558.765 1.350601e+00       0       0 var1   64    31
1139 204746.748 7.006012e+01       0       0 var1   64    32
1140 166587.217 7.108753e+01       0       0 var1   64    34
1141 148104.158 4.886150e-02       0       0 var1   64    38
1142 118671.127 1.026801e+02       0       0 var1   64    39
1143 152171.977 3.737754e-02       0       0 var1   64    45
1144 337822.394 1.063629e-01       0       0 var1   64    46
1145 160819.732 6.509195e+01       0       0 var1   64    48
1146 284503.130 5.123091e+00       0       0 var1   64    49
1147 314658.035 3.870462e-01       0       0 var1   64    50
1148 291342.643 1.676814e+00       0       0 var1   64    52
1149 296480.124 8.065200e-01       0       0 var1   64    53
1150  43569.751 2.849505e-02       0       0 var1   64    54
1151 191106.589 2.738097e+01       0       0 var1   64    55
1152 274645.708 4.901124e+00       0       0 var1   64    56
1153 215871.986 2.571795e+00       0       0 var1   64    57
1154 254254.062 6.923647e-05       0       0 var1   64    62
1155 179852.272 3.183272e+01       0       0 var1   65     1
1156 155619.116 8.145023e+00       0       0 var1   65    10
1157 125955.024 1.788646e+01       0       0 var1   65    19
1158 331849.888 2.737754e-01       0       0 var1   65    22
1159 269180.020 3.879117e-01       0       0 var1   65    24
1160 273361.242 1.479299e+00       0       0 var1   65    25
1161 148532.054 1.418719e+01       0       0 var1   65    29
1162 320230.865 9.755006e-01       0       0 var1   65    33
1163 152264.077 5.551060e+00       0       0 var1   65    44
1164 285951.047 1.145564e+00       0       0 var1   65    61
1165 288340.648 1.133001e+01       0       0 var1   65    63
1166 328277.682 1.535642e+01       0       0 var1   66     1
1167  99616.680 9.449302e-01       0       0 var1   66     6
1168 181314.367 1.387624e+00       0       0 var1   66     8
1169 143899.724 6.204016e+01       0       0 var1   66     9
1170 299872.246 4.871887e-01       0       0 var1   66    11
1171 217223.748 7.886654e+00       0       0 var1   66    12
1172 104783.767 3.522672e-01       0       0 var1   66    13
1173 222893.821 9.909423e+00       0       0 var1   66    14
1174 297942.788 1.608408e+00       0       0 var1   66    16
1175 171268.010 1.028693e+00       0       0 var1   66    17
1176 190483.651 8.363066e+01       0       0 var1   66    18
1177 137650.400 1.564286e-01       0       0 var1   66    21
1178 199405.917 5.025814e+00       0       0 var1   66    23
1179 260009.388 1.723326e+00       0       0 var1   66    27
1180 126897.088 2.730800e+00       0       0 var1   66    28
1181 314824.462 4.174940e+00       0       0 var1   66    29
1182  85942.115 5.621620e-01       0       0 var1   66    30
1183  69236.951 2.093506e-01       0       0 var1   66    31
1184 131261.274 4.556912e+01       0       0 var1   66    32
1185  56584.705 4.639844e+01       0       0 var1   66    34
1186  23820.047 1.956238e+00       0       0 var1   66    38
1187 139341.796 7.247825e+01       0       0 var1   66    39
1188 225513.921 2.215139e+00       0       0 var1   66    41
1189 332066.973 4.003685e-01       0       0 var1   66    44
1190 166732.182 3.287096e+00       0       0 var1   66    45
1191 212377.681 1.673321e+00       0       0 var1   66    46
1192 111620.979 4.158001e+01       0       0 var1   66    48
1193 317287.035 1.507868e+01       0       0 var1   66    49
1194 197810.232 5.025814e+00       0       0 var1   66    50
1195 329094.571 8.495014e+00       0       0 var1   66    52
1196 283562.231 5.207609e-01       0       0 var1   66    53
1197 120185.638 2.105103e+00       0       0 var1   66    54
1198  90234.336 1.305363e+01       0       0 var1   66    55
1199 152179.150 3.530094e-01       0       0 var1   66    56
1200 121355.435 2.566612e-04       0       0 var1   66    57
1201 236414.167 5.235578e+00       0       0 var1   66    60
1202 296676.282 4.264243e-01       0       0 var1   66    61
1203 141969.782 2.650459e+00       0       0 var1   66    62
1204 328139.365 2.698419e+00       0       0 var1   66    63
1205 126069.658 2.623435e+00       0       0 var1   66    64
1206 140077.897 2.882550e-01       0       0 var1   67     6
1207 140366.501 5.517415e-01       0       0 var1   67     8
1208 170737.799 5.537408e+01       0       0 var1   67     9
1209 318362.619 6.906785e-02       0       0 var1   67    11
1210 253432.617 1.052029e+01       0       0 var1   67    12
1211 128312.356 2.507145e-02       0       0 var1   67    13
1212 215224.671 7.358971e+00       0       0 var1   67    14
1213 330857.465 6.939707e-01       0       0 var1   67    16
1214 188260.308 3.353149e-01       0       0 var1   67    17
1215 157581.044 7.586059e+01       0       0 var1   67    18
1216 115796.140 1.573774e-03       0       0 var1   67    21
1217 217799.126 7.166404e+00       0       0 var1   67    23
1218 281156.366 3.055282e+00       0       0 var1   67    27
1219  85125.101 4.358468e+00       0       0 var1   67    28
1220 122555.684 1.404121e+00       0       0 var1   67    30
1221  55728.652 7.969667e-01       0       0 var1   67    31
1222 120067.265 3.988312e+01       0       0 var1   67    32
1223  68796.422 4.065922e+01       0       0 var1   67    34
1224  65057.235 3.362959e+00       0       0 var1   67    38
1225 147423.173 6.525787e+01       0       0 var1   67    39
1226 241799.713 3.699913e+00       0       0 var1   67    41
1227 128507.638 5.054477e+00       0       0 var1   67    45
1228 242737.678 2.988578e+00       0       0 var1   67    46
1229  87190.530 3.615707e+01       0       0 var1   67    48
1230 279476.190 1.864779e+01       0       0 var1   67    49
1231 216900.912 7.166404e+00       0       0 var1   67    50
1232 290677.982 1.122117e+01       0       0 var1   67    52
1233 254745.121 1.338230e+00       0       0 var1   67    53
1234 105802.409 3.557293e+00       0       0 var1   67    54
1235 130821.608 1.009841e+01       0       0 var1   67    55
1236 191702.383 2.526973e-02       0       0 var1   67    56
1237 122379.323 2.035833e-01       0       0 var1   67    57
1238 270008.450 7.416471e+00       0       0 var1   67    60
1239 337265.123 1.184164e+00       0       0 var1   67    61
1240 156788.985 4.256813e+00       0       0 var1   67    62
1241  97793.509 4.222547e+00       0       0 var1   67    64
1242  41803.892 1.893828e-01       0       0 var1   67    66
1243 331070.901 5.657080e-03       0       0 var1   68     2
1244 251638.093 1.435012e+00       0       0 var1   68     6
1245 312554.563 2.437778e-02       0       0 var1   68     7
1246  53796.100 1.970708e+00       0       0 var1   68     8
1247 272867.048 6.564892e+01       0       0 var1   68     9
1248 215483.335 6.713601e-01       0       0 var1   68    13
1249 219197.004 1.138231e+01       0       0 var1   68    14
1250 254584.579 1.537823e+00       0       0 var1   68    17
1251  89712.977 8.781235e+01       0       0 var1   68    18
1252 113183.897 3.860823e-01       0       0 var1   68    21
1253 283380.944 4.064208e+00       0       0 var1   68    23
1254  36082.001 2.035383e+00       0       0 var1   68    28
1255 228926.111 2.745027e-01       0       0 var1   68    30
1256 121501.293 5.368670e-02       0       0 var1   68    31
1257 144374.354 4.866925e+01       0       0 var1   68    32
1258 158661.192 4.952619e+01       0       0 var1   68    34
1259 179455.295 1.375486e+00       0       0 var1   68    38
1260 225682.893 7.637467e+01       0       0 var1   68    39
1261 300364.665 1.593880e+00       0       0 var1   68    41
1262 333153.845 8.910616e+00       0       0 var1   68    42
1263  42285.491 2.519173e+00       0       0 var1   68    45
1264 331115.786 1.140035e+00       0       0 var1   68    46
1265  99019.351 4.454362e+01       0       0 var1   68    48
1266 173849.598 1.337571e+01       0       0 var1   68    49
1267 284036.414 4.064208e+00       0       0 var1   68    50
1268 182679.399 7.229517e+00       0       0 var1   68    52
1269 184484.720 2.458108e-01       0       0 var1   68    53
1270 154841.940 1.500755e+00       0       0 var1   68    54
1271 246384.966 1.473658e+01       0       0 var1   68    55
1272 300381.366 6.723845e-01       0       0 var1   68    56
1273 172528.061 4.402609e-02       0       0 var1   68    57
1274 224029.422 1.966105e+00       0       0 var1   68    62
1275 114592.166 1.942839e+00       0       0 var1   68    64
1276 157126.123 5.100579e-02       0       0 var1   68    66
1277 115651.371 4.369554e-01       0       0 var1   68    67
1278 248395.740 2.281618e+01       0       0 var1   69     1
1279 296088.632 2.081014e+01       0       0 var1   69     3
1280 285460.841 1.503308e+01       0       0 var1   69     4
1281 271498.922 1.586240e+01       0       0 var1   69     5
1282  60928.270 3.348815e+00       0       0 var1   69     6
1283 309840.173 4.144792e+00       0       0 var1   69     8
1284 210727.098 7.629078e+01       0       0 var1   69     9
1285 313227.575 3.954245e+00       0       0 var1   69    10
1286 187316.157 2.420796e+00       0       0 var1   69    11
1287  81249.293 3.804126e+00       0       0 var1   69    12
1288  62050.437 2.106628e+00       0       0 var1   69    13
1289 208996.513 1.604664e+01       0       0 var1   69    14
1290 225604.227 2.620201e+00       0       0 var1   69    15
1291 158809.619 4.520438e+00       0       0 var1   69    16
1292  91506.152 3.504934e+00       0       0 var1   69    17
1293 264949.946 1.000576e+02       0       0 var1   69    18
1294 289958.749 1.131527e+01       0       0 var1   69    19
1295 194420.269 1.571042e+00       0       0 var1   69    21
1296 103216.250 1.915265e+00       0       0 var1   69    23
1297 248508.443 5.885222e-02       0       0 var1   69    24
1298 321054.321 1.230915e-01       0       0 var1   69    25
1299 324216.039 3.816108e+00       0       0 var1   69    26
1300 143507.169 2.068916e-01       0       0 var1   69    27
1301 251417.434 6.314073e-01       0       0 var1   69    28
1302 280701.167 8.416780e+00       0       0 var1   69    29
1303  54062.782 1.169146e-02       0       0 var1   69    30
1304 151433.111 1.602827e-01       0       0 var1   69    31
1305 163820.688 5.788763e+01       0       0 var1   69    32
1306 297298.281 1.494604e-02       0       0 var1   69    33
1307 113989.588 5.882187e+01       0       0 var1   69    34
1308 217061.081 2.445932e-02       0       0 var1   69    36
1309 117853.057 2.924151e-01       0       0 var1   69    38
1310 249481.087 8.782159e+01       0       0 var1   69    39
1311 303098.812 2.204159e+00       0       0 var1   69    40
1312 130016.504 3.974454e-01       0       0 var1   69    41
1313 306735.909 1.308358e+01       0       0 var1   69    42
1314 320716.056 2.222033e+00       0       0 var1   69    44
1315 264154.269 9.122796e-01       0       0 var1   69    45
1316  76297.487 1.898060e-01       0       0 var1   69    46
1317 273261.812 1.850728e+01       0       0 var1   69    47
1318 185823.414 5.337994e+01       0       0 var1   69    48
1319  99549.906 1.915265e+00       0       0 var1   69    50
1320 268576.887 8.945873e-01       0       0 var1   69    51
1321 330069.120 1.856788e-02       0       0 var1   69    53
1322 255356.506 3.516440e-01       0       0 var1   69    54
1323 117247.405 1.998879e+01       0       0 var1   69    55
1324  48834.451 2.108442e+00       0       0 var1   69    56
1325 128125.034 7.087637e-01       0       0 var1   69    57
1326 304326.360 5.527552e-03       0       0 var1   69    58
1327 285360.834 2.111672e-02       0       0 var1   69    59
1328  97292.278 2.045577e+00       0       0 var1   69    60
1329 180861.884 4.197990e-02       0       0 var1   69    61
1330  89028.907 5.930870e-01       0       0 var1   69    62
1331 208328.488 6.252941e+00       0       0 var1   69    63
1332 265210.216 5.803401e-01       0       0 var1   69    64
1333 139140.605 7.359953e-01       0       0 var1   69    66
1334 173244.841 1.672064e+00       0       0 var1   69    67
1335 272594.860 3.994961e-01       0       0 var1   69    68
1336 206235.311 2.775516e+01       0       0 var1   70     1
1337 221657.089 2.553787e+01       0       0 var1   70     3
1338 208758.865 1.908763e+01       0       0 var1   70     4
1339 195865.280 2.002071e+01       0       0 var1   70     5
1340 122218.401 5.390126e+00       0       0 var1   70     6
1341 257944.029 8.512179e+01       0       0 var1   70     9
1342 260982.761 6.151472e+00       0       0 var1   70    10
1343 169878.577 4.192577e+00       0       0 var1   70    11
1344   4518.646 2.127891e+00       0       0 var1   70    12
1345 136164.774 3.775678e+00       0       0 var1   70    13
1346 258152.687 2.022762e+01       0       0 var1   70    14
1347 173851.422 4.453751e+00       0       0 var1   70    15
1348  88665.889 6.852981e+00       0       0 var1   70    16
1349 134096.600 5.587714e+00       0       0 var1   70    17
1350 336823.399 1.101360e+02       0       0 var1   70    18
1351 260835.292 1.486492e+01       0       0 var1   70    19
1352 266156.406 3.045374e+00       0       0 var1   70    21
1353 127272.166 7.960980e-01       0       0 var1   70    23
1354 179188.025 6.204729e-02       0       0 var1   70    24
1355 249224.472 7.098598e-01       0       0 var1   70    25
1356 249555.727 5.978875e+00       0       0 var1   70    26
1357 130054.122 1.356770e-03       0       0 var1   70    27
1358 329329.785 9.176278e-02       0       0 var1   70    28
1359 266194.450 1.151147e+01       0       0 var1   70    29
1360 128703.454 3.597777e-01       0       0 var1   70    30
1361 228686.022 7.957369e-01       0       0 var1   70    31
1362 233276.393 6.561129e+01       0       0 var1   70    32
1363 221301.407 3.769244e-01       0       0 var1   70    33
1364 191708.054 6.660566e+01       0       0 var1   70    34
1365 315213.014 4.233753e-01       0       0 var1   70    35
1366 142431.588 4.200109e-01       0       0 var1   70    36
1367 192081.673 2.407521e-03       0       0 var1   70    38
1368 310002.142 9.727887e+01       0       0 var1   70    39
1369 225248.410 9.859563e-01       0       0 var1   70    40
1370 144641.608 1.925017e-02       0       0 var1   70    41
1371 333585.389 1.688232e+01       0       0 var1   70    42
1372 292035.397 3.614866e+00       0       0 var1   70    43
1373 316254.321 3.929657e+00       0       0 var1   70    44
1374  50475.865 3.138290e-03       0       0 var1   70    46
1375 224522.057 2.297953e+01       0       0 var1   70    47
1376 260795.094 6.080640e+01       0       0 var1   70    48
1377 123294.170 7.960980e-01       0       0 var1   70    50
1378 233880.050 2.066446e+00       0       0 var1   70    51
1379 326557.301 1.026333e-02       0       0 var1   70    54
1380 171714.944 2.462710e+01       0       0 var1   70    55
1381  73263.647 3.778107e+00       0       0 var1   70    56
1382 196644.965 1.778406e+00       0       0 var1   70    57
1383 238029.547 1.741728e-01       0       0 var1   70    58
1384 292190.023 4.057736e-01       0       0 var1   70    59
1385  31624.153 8.808745e-01       0       0 var1   70    60
1386 116403.296 4.852204e-01       0       0 var1   70    61
1387 147963.650 7.752534e-02       0       0 var1   70    62
1388 138620.624 8.953714e+00       0       0 var1   70    63
1389 214603.762 1.821391e+00       0       0 var1   70    66
1390 250489.641 3.185407e+00       0       0 var1   70    67
1391  77912.802 2.417568e-01       0       0 var1   70    69
1392 143755.819 2.280302e+01       0       0 var1   71     1
1393 168797.621 2.079757e+01       0       0 var1   71     3
1394 143999.775 1.502239e+01       0       0 var1   71     4
1395 139961.972 1.585143e+01       0       0 var1   71     5
1396 201082.684 3.343773e+00       0       0 var1   71     6
1397 304578.657 7.626671e+01       0       0 var1   71     9
1398 178060.895 3.948766e+00       0       0 var1   71    10
1399 232287.956 2.416509e+00       0       0 var1   71    11
1400  96166.251 3.809504e+00       0       0 var1   71    12
1401 234791.467 2.102629e+00       0       0 var1   71    13
1402 191167.425 2.615741e+00       0       0 var1   71    15
1403  97414.992 4.514579e+00       0       0 var1   71    16
1404 232616.244 3.499775e+00       0       0 var1   71    17
1405 209784.546 1.130600e+01       0       0 var1   71    19
1406 240558.367 1.932195e+00       0       0 var1   71    22
1407 221202.878 1.919081e+00       0       0 var1   71    23
1408  79945.642 5.952281e-02       0       0 var1   71    24
1409 148752.075 1.221264e-01       0       0 var1   71    25
1410 192803.802 3.810725e+00       0       0 var1   71    26
1411 203261.583 2.081472e-01       0       0 var1   71    27
1412 234584.964 8.408785e+00       0       0 var1   71    29
1413 217503.246 1.139532e-02       0       0 var1   71    30
1414 324775.762 1.591810e-01       0       0 var1   71    31
1415 333564.152 5.786666e+01       0       0 var1   71    32
1416 124541.612 1.461096e-02       0       0 var1   71    33
1417 286759.491 5.880073e+01       0       0 var1   71    34
1418 231227.214 2.484000e-02       0       0 var1   71    35
1419 104465.211 2.403013e-02       0       0 var1   71    36
1420 276583.411 2.939075e-01       0       0 var1   71    38
1421 139294.197 2.208253e+00       0       0 var1   71    40
1422 232873.758 3.991850e-01       0       0 var1   71    41
1423 285952.448 1.983067e+00       0       0 var1   71    43
1424 292625.386 2.217926e+00       0       0 var1   71    44
1425 141742.658 1.910087e-01       0       0 var1   71    46
1426 237991.726 1.849543e+01       0       0 var1   71    47
1427 217502.422 1.919081e+00       0       0 var1   71    50
1428 267463.937 8.919821e-01       0       0 var1   71    51
1429 236383.131 1.997646e+01       0       0 var1   71    55
1430 148084.098 2.104442e+00       0       0 var1   71    56
1431 296960.323 7.064450e-01       0       0 var1   71    57
1432 211752.219 5.734382e-03       0       0 var1   71    58
1433 103921.514 2.049522e+00       0       0 var1   71    60
1434  36369.513 4.141704e-02       0       0 var1   71    61
1435 248344.187 5.952117e-01       0       0 var1   71    62
1436  40485.995 6.246050e+00       0       0 var1   71    63
1437 320833.804 7.513397e-01       0       0 var1   71    65
1438 300258.860 7.336325e-01       0       0 var1   71    66
1439 173746.802 1.899422e-06       0       0 var1   71    69
1440 100475.956 2.431140e-01       0       0 var1   71    70
1441 242281.034 1.036697e+01       0       0 var1   72     1
1442 324483.431 9.029801e+00       0       0 var1   72     3
1443 311482.698 5.384259e+00       0       0 var1   72     4
1444 298818.052 5.885052e+00       0       0 var1   72     5
1445  25109.710 7.459796e-02       0       0 var1   72     6
1446 289963.649 2.294654e-01       0       0 var1   72     8
1447 175070.835 5.151807e+01       0       0 var1   72     9
1448 310923.806 1.863457e-01       0       0 var1   72    10
1449 222716.104 9.214178e-07       0       0 var1   72    11
1450 105282.872 1.230093e+01       0       0 var1   72    12
1451  66963.533 1.111503e-02       0       0 var1   72    13
1452 225654.366 5.997477e+00       0       0 var1   72    14
1453 260566.291 3.825783e-03       0       0 var1   72    15
1454 189088.645 3.240815e-01       0       0 var1   72    16
1455 117928.436 9.941174e-02       0       0 var1   72    17
1456 261356.246 7.133544e+01       0       0 var1   72    18
1457 276520.856 3.265131e+00       0       0 var1   72    19
1458 192549.873 9.207483e-02       0       0 var1   72    21
1459 134616.519 8.648196e+00       0       0 var1   72    23
1460 258763.149 3.238004e+00       0       0 var1   72    24
1461 332432.494 1.454452e+00       0       0 var1   72    25
1462 179011.724 4.046953e+00       0       0 var1   72    27
1463 232598.675 5.529374e+00       0       0 var1   72    28
1464 261252.319 1.807191e+00       0       0 var1   72    29
1465  28348.178 2.098800e+00       0       0 var1   72    30
1466 139350.759 1.337486e+00       0       0 var1   72    31
1467 165981.211 3.662115e+01       0       0 var1   72    32
1468 313855.672 2.058067e+00       0       0 var1   72    33
1469 100861.345 3.736499e+01       0       0 var1   72    34
1470 245223.334 1.961277e+00       0       0 var1   72    36
1471  89391.437 4.399946e+00       0       0 var1   72    38
1472 214246.144 6.106589e+01       0       0 var1   72    39
1473 324256.742 9.250671e+00       0       0 var1   72    40
1474 162212.312 4.784208e+00       0       0 var1   72    41
1475 331467.041 4.244721e+00       0       0 var1   72    42
1476 296737.800 4.382724e-03       0       0 var1   72    44
1477 254177.370 6.310063e+00       0       0 var1   72    45
1478 111199.793 3.970127e+00       0       0 var1   72    46
1479 308677.904 7.535896e+00       0       0 var1   72    47
1480 178904.459 3.305453e+01       0       0 var1   72    48
1481 131251.901 8.648196e+00       0       0 var1   72    50
1482 304471.712 3.733508e-01       0       0 var1   72    51
1483 335242.290 2.018066e+00       0       0 var1   72    53
1484 224066.004 4.621839e+00       0       0 var1   72    54
1485  81438.443 8.491579e+00       0       0 var1   72    55
1486  43416.681 1.098366e-02       0       0 var1   72    56
1487 133337.565 5.111815e-01       0       0 var1   72    57
1488 336706.384 2.660807e+00       0       0 var1   72    58
1489 316183.856 1.992430e+00       0       0 var1   72    59
1490 127482.081 8.922691e+00       0       0 var1   72    60
1491 189781.110 1.827798e+00       0       0 var1   72    61
1492 106736.098 5.414799e+00       0       0 var1   72    62
1493 219871.996 8.906404e-01       0       0 var1   72    63
1494 237386.042 5.376143e+00       0       0 var1   72    64
1495 112395.107 4.885296e-01       0       0 var1   72    66
1496 150316.340 6.957331e-02       0       0 var1   72    67
1497 257247.992 8.552431e-01       0       0 var1   72    68
1498  35902.032 2.423784e+00       0       0 var1   72    69
1499 102952.895 4.196509e+00       0       0 var1   72    70
1500 189320.728 2.419494e+00       0       0 var1   72    71
1501 223599.231 3.124461e+01       0       0 var1   73     1
1502 229895.905 2.888925e+01       0       0 var1   73     3
1503 202230.270 2.199901e+01       0       0 var1   73     4
1504 221201.638 2.299991e+01       0       0 var1   73     5
1505 166127.633 7.848890e+00       0       0 var1   73    10
1506 325617.975 1.293584e+00       0       0 var1   73    12
1507 294660.195 8.638842e+00       0       0 var1   73    16
1508 264945.860 1.744630e+01       0       0 var1   73    19
1509  42250.271 3.313122e-01       0       0 var1   73    22
1510 154733.531 3.254290e-01       0       0 var1   73    24
1511  81234.990 1.354669e+00       0       0 var1   73    25
1512 225583.912 7.653770e+00       0       0 var1   73    26
1513 317546.893 1.379548e+01       0       0 var1   73    29
1514 117093.855 8.748097e-01       0       0 var1   73    33
1515 143463.227 9.448694e-01       0       0 var1   73    35
1516 249911.334 9.398399e-01       0       0 var1   73    36
1517 145706.776 4.510229e-01       0       0 var1   73    40
1518 296563.583 5.456941e-01       0       0 var1   73    58
1519 328643.193 3.809089e-01       0       0 var1   73    60
1520 223756.955 1.036219e+00       0       0 var1   73    61
1521 194116.281 1.098025e+01       0       0 var1   73    63
1522 289716.314 2.741746e-03       0       0 var1   73    65
1523 329876.218 1.032793e-01       0       0 var1   73    70
1524 229518.085 6.633074e-01       0       0 var1   73    71
1525 191255.162 1.847835e+01       0       0 var1   74     3
1526 216300.147 1.306159e+01       0       0 var1   74     4
1527 197338.388 1.383538e+01       0       0 var1   74     5
1528 109816.821 1.671131e+00       0       0 var1   74    11
1529 248870.684 4.899961e+00       0       0 var1   74    12
1530 302923.285 1.411948e+00       0       0 var1   74    13
1531 284481.930 1.400748e+01       0       0 var1   74    14
1532  82310.274 1.837475e+00       0       0 var1   74    15
1533 178889.062 3.470634e+00       0       0 var1   74    16
1534 239573.474 2.588811e+00       0       0 var1   74    17
1535 200020.526 2.846171e+00       0       0 var1   74    20
1536 209957.410 2.712936e+00       0       0 var1   74    23
1537 329800.330 2.557965e-01       0       0 var1   74    24
1538 204889.599 2.857174e+00       0       0 var1   74    26
1539 147694.043 5.155553e-01       0       0 var1   74    27
1540 335004.259 2.403784e-02       0       0 var1   74    30
1541 309553.828 1.985689e-02       0       0 var1   74    33
1542 312578.654 1.085414e-02       0       0 var1   74    35
1543 182661.110 1.140063e-02       0       0 var1   74    36
1544 292268.306 3.046578e+01       0       0 var1   74    37
1545 272858.129 3.054838e+00       0       0 var1   74    40
1546 187050.176 7.985230e-01       0       0 var1   74    41
1547 252770.964 1.124901e+01       0       0 var1   74    42
1548  93421.691 1.314288e+00       0       0 var1   74    43
1549 213158.471 4.883714e-01       0       0 var1   74    46
1550  43542.185 1.631223e+01       0       0 var1   74    47
1551 210926.917 2.712936e+00       0       0 var1   74    50
1552  21796.700 4.660216e-01       0       0 var1   74    51
1553 312704.323 1.413434e+00       0       0 var1   74    56
1554 315464.056 3.349082e-01       0       0 var1   74    57
1555 131609.703 1.139170e-01       0       0 var1   74    58
1556 167717.677 1.388922e-02       0       0 var1   74    59
1557 215829.418 2.867622e+00       0       0 var1   74    60
1558 309468.967 3.396385e-03       0       0 var1   74    61
1559 271322.540 1.067688e+00       0       0 var1   74    62
1560 305085.664 5.006046e+00       0       0 var1   74    63
1561 285974.789 6.925765e-02       0       0 var1   74    69
1562 247198.415 5.698078e-01       0       0 var1   74    70
1563 273466.914 6.853415e-02       0       0 var1   74    71
1564 321865.999 1.673613e+00       0       0 var1   74    72

Illustration: gamma value calculation

right <- no2[1,]$NO2
right
[1] 13.10281
left <- no2[3,]$NO2
left
[1] 12.79901
(right-left)^2/2
[1] 0.04614575

Illustration: dist value calculation

Your turn

Variogram Cloud: Method 1

ggplot(data=vcloud, aes(x=dist, y=gamma)) + geom_point()

Variogram Cloud: Method 2

plot(vcloud)

Binned Empirical Semi-Variogram/ Sample variogram/ Sample Experimental Variogram

\[\hat{\gamma}(h) = \frac{1}{N_h}\sum_{i=1}^{N_h}(Z(s_i)-Z(s_i+h))^2\] where

\(h\) is the spatial distance between observations

\(N_h\) is the number of pairs that are within \(h\) distance.

Binned Empirical Semi-Variogram/ Sample variogram/ Sample Experimental Variogram

v1 <- variogram(NO2~1, no2.sf)
v1
    np      dist     gamma dir.hor dir.ver   id
1    5  13346.97  0.708610       0       0 var1
2   33  35120.03  9.590258       0       0 var1
3   45  57128.34 11.906498       0       0 var1
4   67  79156.08 14.268556       0       0 var1
5   85 101762.57  9.809778       0       0 var1
6  118 124431.83 12.441531       0       0 var1
7  138 146492.14 17.669501       0       0 var1
8   99 170131.95 14.815625       0       0 var1
9  132 192564.66 18.209828       0       0 var1
10 148 215025.57 15.654895       0       0 var1
11 121 237646.91 19.447882       0       0 var1
12 147 260395.54 16.009047       0       0 var1
13 142 281756.17 14.352454       0       0 var1
14 129 305033.38 16.201970       0       0 var1
15 155 328255.00 13.319879       0       0 var1

cutoff: one-third of the length of the bounding box diagonal

width: cutoff divided by 15

Plot Sample Experimental Variogram

plot(v1, plot.numbers = TRUE, xlab = "distance h [m]",
     ylab = expression(gamma(h)),
     xlim = c(0, 1.055 * max(v1$dist)))

Change default values

v2 <- variogram(NO2~1, no2.sf, cutoff = 100000, width = 10000)
plot(v2, plot.numbers = TRUE, xlab = "distance h [m]",
     ylab = expression(gamma(h)),
     xlim = c(0, 1.055 * max(v2$dist)))

Fitting variogram models

vgm()
   short                                      long
1    Nug                              Nug (nugget)
2    Exp                         Exp (exponential)
3    Sph                           Sph (spherical)
4    Gau                            Gau (gaussian)
5    Exc        Exclass (Exponential class/stable)
6    Mat                              Mat (Matern)
7    Ste Mat (Matern, M. Stein's parameterization)
8    Cir                            Cir (circular)
9    Lin                              Lin (linear)
10   Bes                              Bes (bessel)
11   Pen                      Pen (pentaspherical)
12   Per                            Per (periodic)
13   Wav                                Wav (wave)
14   Hol                                Hol (hole)
15   Log                         Log (logarithmic)
16   Pow                               Pow (power)
17   Spl                              Spl (spline)
18   Leg                            Leg (Legendre)
19   Err                   Err (Measurement error)
20   Int                           Int (Intercept)

Variogram models available in R’s gstat package

show.vgms(par.strip.text=list(cex=0.75))

Variogram

Resources: https://surferhelp.goldensoftware.com/vario/variogram_model.htm

https://csegrecorder.com/articles/view/the-variogram-basics-a-visual-intro-to-useful-geostatistical-concepts

Variogram modelling

v.m <- fit.variogram(v1, vgm(psill=20, model = "Exp", range = 20000, nugget = 1))

We need to provide partial sill, range, and nugget

Visualize the fit

plot(v1, v.m)

Assess isotropy assumption

v1.ani <- variogram(NO2~1, alpha = c(0, 45, 90, 135), no2.sf)
v.m <- fit.variogram(v1, vgm(psill=20, model = "Exp", range = 20000, nugget = 1))
plot(v1.ani, v.m)

plot(v1.ani)

Addressing anisotropy parameters

v1.ani <- variogram(NO2~1, alpha = c(0, 45, 90, 135), no2.sf)
fit.ani <- vgm(psill=20, model = "Exp", range = 25000, nugget = 3, anis = c(30, 10, 0, 0.5, 0.3))
plot(v1.ani, fit.ani)

Your turn: Fit a suitable model (I will proceed with v.m )

Krigging

  1. Simple kriging

  2. Ordinary kriging

  3. Universal kriging

  4. Regression kriging

  5. Others: Staratified Kriging, Indicator Kriging, Block kriging

Ordinary Kriging

v1 <- variogram(NO2~1, no2.sf)
v.m <- fit.variogram(v1, vgm(psill=20, model = "Exp", range = 20000, nugget = 1))
krigOK <- krige(NO2~1, no2.sf, grid, v.m)
[using ordinary kriging]
krigOK
stars object with 2 dimensions and 2 attributes
attribute(s):
               Min.  1st Qu.    Median      Mean   3rd Qu.     Max. NA's
var1.pred  2.369868 7.233308  8.410634  8.754844  9.983278 20.13452 2076
var1.var   0.264067 8.052095 10.510333 10.135407 12.446936 15.82107 2076
dimension(s):
  from to  offset  delta                refsys x/y
x    1 65  280741  10000 WGS 84 / UTM zone 32N [x]
y    1 87 6101239 -10000 WGS 84 / UTM zone 32N [y]

Visualise kriging predictions

ggplot() + geom_stars(data = krigOK, aes(fill = var1.pred, x = x, y = y)) + 
    xlab(NULL) + ylab(NULL) +
    geom_sf(data = st_cast(map, "MULTILINESTRING")) + 
    geom_sf(data = no2.sf) +
    coord_sf(lims_method = "geometry_bbox") + scale_fill_viridis()

Validation

krig.ok.cv <- krige.cv(NO2~1, no2.sf, v.m)
krig.ok.cv 
Simple feature collection with 74 features and 6 fields
Geometry type: POINT
Dimension:     XY
Bounding box:  xmin: 304638.2 ymin: 5263687 xmax: 900829.7 ymax: 6086661
Projected CRS: WGS 84 / UTM zone 32N
First 10 features:
   var1.pred  var1.var  observed    residual      zscore fold
1   9.064467 14.151031 13.102806  4.03833865  1.07351642    1
2   9.074518 15.283772  7.135128 -1.93938966 -0.49607780    2
3  10.187623  7.825023 12.799011  2.61138737  0.93353044    3
4  10.291637  7.796963 11.830894  1.53925685  0.55124968    4
5  10.992385  7.354472 11.980110  0.98772545  0.36421725    5
6   8.689390  8.426194  8.935611  0.24622086  0.08482212    6
7   8.013070 15.678342  7.020690 -0.99238068 -0.25062722    7
8   7.132927 13.703602  9.226796  2.09386890  0.56562958    8
9  11.392578 15.191786 18.700023  7.30744545  1.87482686    9
10  9.252903 15.106029  9.159836 -0.09306688 -0.02394528   10
                   geometry
1  POINT (545413.7 5930802)
2  POINT (665710.6 5315213)
3  POINT (815741.2 5820995)
4  POINT (790544.1 5842367)
5  POINT (786923.1 5822067)
6  POINT (495006.7 5697747)
7  POINT (605720.5 5263687)
8  POINT (322457.1 5476682)
9  POINT (353646.6 5747825)
10 POINT (581136.7 5994606)

RMSE

round(sqrt(mean(krig.ok.cv$residual^2)), 2)
[1] 3.87

Regression Kriging

There is a trend in \(\mu(s)\). This trend is estimated using covariates other than coordinates.

plot( no2.sf$station_altitude, no2.sf$NO2,)

Sample Variogram

v.rk <- variogram(NO2~station_altitude, no2.sf)
plot(v.rk)

Fit Variogram

v.m.rk <- fit.variogram(v.rk, vgm(psill=15, model = "Exp", range = 20000, nugget = 1))
plot(v1, v.m)

Assess isotropy assumption

v1.ani.rk <- variogram(NO2~station_altitude, alpha = c(0, 45, 90, 135), no2.sf)
v.m.rk <- fit.variogram(v1.ani.rk, vgm(psill=15, model = "Exp", range = 20000, nugget = 1))
plot(v1.ani.rk, v.m.rk)

Regression Kriging

Your turn: Complete regression kriging

Using covariate

vr <- variogram(NO2~sqrt(pop_dens), no2.sf)
vr.m <- fit.variogram(vr, vgm(1, "Exp", 50000, 1))

Your turn

library(sp)
library(gstat)
library(sf)
library(mapview)

data(meuse)
data(meuse.grid)

meuse <- st_as_sf(meuse, coords = c("x", "y"), crs = 28992)
mapview(meuse, zcol = "zinc",  map.types = "CartoDB.Voyager")
meuse.grid <- st_as_sf(meuse.grid, coords = c("x", "y"),
                       crs = 28992)
mapview(meuse.grid,  map.types = "CartoDB.Voyager")

Perform EDA

meuse
Simple feature collection with 155 features and 12 fields
Geometry type: POINT
Dimension:     XY
Bounding box:  xmin: 178605 ymin: 329714 xmax: 181390 ymax: 333611
Projected CRS: Amersfoort / RD New
First 10 features:
   cadmium copper lead zinc  elev       dist   om ffreq soil lime landuse
1     11.7     85  299 1022 7.909 0.00135803 13.6     1    1    1      Ah
2      8.6     81  277 1141 6.983 0.01222430 14.0     1    1    1      Ah
3      6.5     68  199  640 7.800 0.10302900 13.0     1    1    1      Ah
4      2.6     81  116  257 7.655 0.19009400  8.0     1    2    0      Ga
5      2.8     48  117  269 7.480 0.27709000  8.7     1    2    0      Ah
6      3.0     61  137  281 7.791 0.36406700  7.8     1    2    0      Ga
7      3.2     31  132  346 8.217 0.19009400  9.2     1    2    0      Ah
8      2.8     29  150  406 8.490 0.09215160  9.5     1    1    0      Ab
9      2.4     37  133  347 8.668 0.18461400 10.6     1    1    0      Ab
10     1.6     24   80  183 9.049 0.30970200  6.3     1    2    0       W
   dist.m              geometry
1      50 POINT (181072 333611)
2      30 POINT (181025 333558)
3     150 POINT (181165 333537)
4     270 POINT (181298 333484)
5     380 POINT (181307 333330)
6     470 POINT (181390 333260)
7     240 POINT (181165 333370)
8     120 POINT (181027 333363)
9     240 POINT (181060 333231)
10    420 POINT (181232 333168)

Variogram Modelling with Pyhon

Click here to view the tutorial

Variogram Interpretations

Resources 1

Resources 2

Accuracy Measures and Cross-validation Strategies for Data with Temporal and/ or Spatial Structures

Loss function

  • Function that calculates loss for a single data point

\(e_i = y - \hat{y}\)

\(e_i^2 = (y - \hat{y})^2\)

Cost function

  • Calculates loss for the entire data sets

\[ME = \frac{1}{n}\sum_{i=1}^n e_i\]

Numeric outcome: Evaluations

Prediction accuracy measures (cost functions)

Mean Error

\[ME = \frac{1}{n}\sum_{i=1}^n e_i\]

  • Error can be both negative and positive. So they can cancel each other during the summation.

Mean Absolute Error (L1 loss)

\[MAE = \frac{1}{n}\sum_{i=1}^n |e_i|\]

Mean Squared Error (L2 loss)

\[MSE = \frac{1}{n}\sum_{i=1}^n e^2_i\]

Mean Percentage Error

\[MPE = \frac{1}{n}\sum_{i=1}^n \frac{e_i}{y_i}\]

Mean Absolute Percentage Error

\[MAPE = \frac{1}{n}\sum_{i=1}^n |\frac{e_i}{y_i}|\]

Root Mean Squared Error

\[RMSE = \sqrt{\frac{1}{n}\sum_{i=1}^n e^2_i}\]

Mean Absolute Scaled Error

In-class discussion

https://robjhyndman.com/papers/mase.pdf

Visualizaion of error distribution

Graphical representations reveal more than metrics alone.

Accuracy Measures on Training Set vs Test Set

Accuracy measure on training set: Tells about the model fit

Accuracy measure on test set: Model ability to predict new data

Evaluate Classifier Against Benchmarks

Naive approach: approach relies soley on \(Y\)

Outcome: Numeric

Naive Benchmark: Average (\(\bar{Y}\))

Time series cross-validation

Image credit: Professor Rob Hyndman

LOOCV

Blue - Training set

Orange - Test set

Not good for time series data. Why?

Evaluation on a rolling forecasting origin

  • There are a series of test sets, each consisting of a single observation.

  • The corresponding training set consists only of observations that occurred prior to the observation that forms the test set.

Training set - blue, Test set - red

The forecast accuracy is computed by averaging over the test sets.

Source: Hyndman, R. J., & Athanasopoulos, G. (2018). Forecasting: principles and practice. OTexts.

Multi-step ahead forecast

Training set - blue, Test set - red

Source: Hyndman, R. J., & Athanasopoulos, G. (2018). Forecasting: principles and practice. OTexts.

Cross-validation in Space

Source: Roberts, D. R., Bahn, V., Ciuti, S., Boyce, M. S., Elith, J., Guillera‐Arroita, G., … & Dormann, C. F. (2017). Cross‐validation strategies for data with temporal, spatial, hierarchical, or phylogenetic structure. Ecography, 40(8), 913-929

Case 1: Unbalanced data

Case 2

Source: Ploton, P., Mortier, F., Réjou-Méchain, M., Barbier, N., Picard, N., Rossi, V., … & Pélissier, R. (2020). Spatial validation reveals poor predictive performance of large-scale ecological mapping models. Nature communications, 11(1), 1-11.